
Get the free RELEASE FOR DELIVERY OF IN-HOUSE DOCUMENTS IN ...
Show details
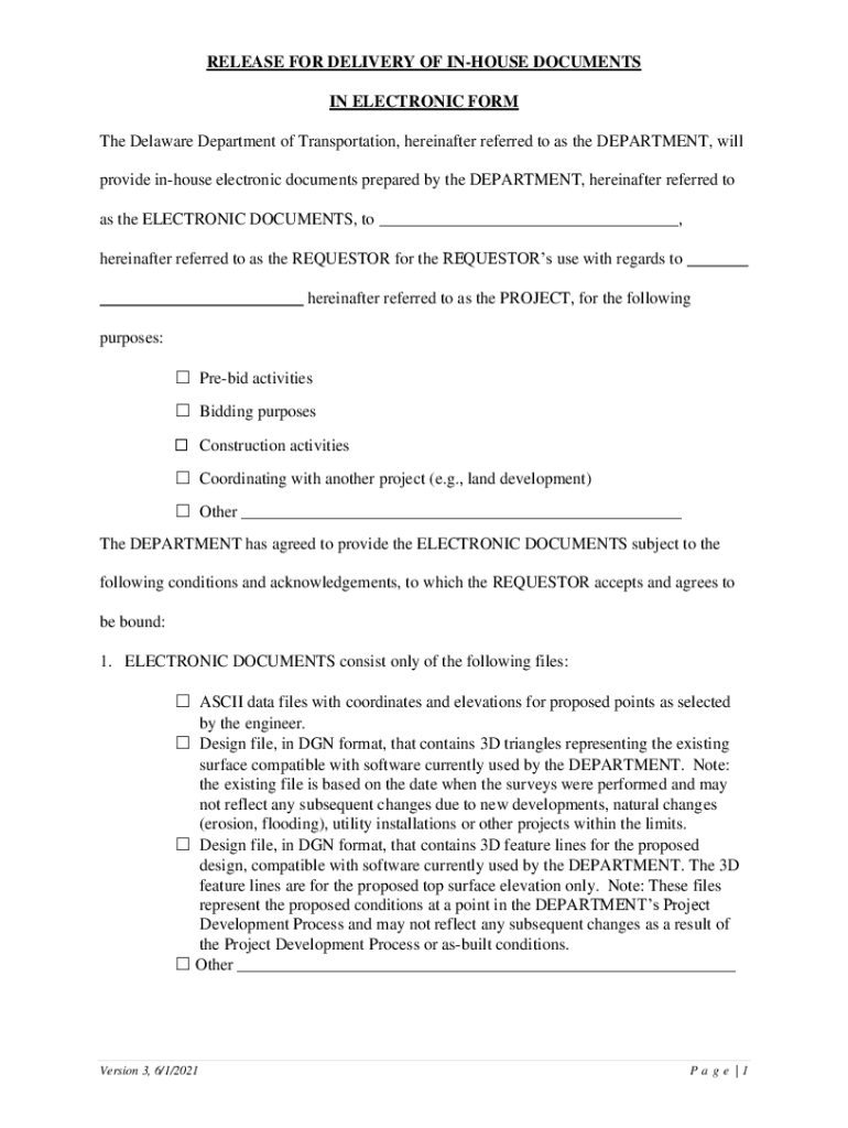
RELEASE FOR DELIVERY OF HOUSE DOCUMENTS IN ELECTRONIC FORM The Delaware Department of Transportation, hereinafter referred to as the DEPARTMENT, will provide in house electronic documents prepared
We are not affiliated with any brand or entity on this form
Get, Create, Make and Sign release for delivery of

Edit your release for delivery of form online
Type text, complete fillable fields, insert images, highlight or blackout data for discretion, add comments, and more.

Add your legally-binding signature
Draw or type your signature, upload a signature image, or capture it with your digital camera.

Share your form instantly
Email, fax, or share your release for delivery of form via URL. You can also download, print, or export forms to your preferred cloud storage service.
How to edit release for delivery of online
To use the services of a skilled PDF editor, follow these steps below:
1
Register the account. Begin by clicking Start Free Trial and create a profile if you are a new user.
2
Upload a file. Select Add New on your Dashboard and upload a file from your device or import it from the cloud, online, or internal mail. Then click Edit.
3
Edit release for delivery of. Rearrange and rotate pages, add and edit text, and use additional tools. To save changes and return to your Dashboard, click Done. The Documents tab allows you to merge, divide, lock, or unlock files.
4
Save your file. Select it in the list of your records. Then, move the cursor to the right toolbar and choose one of the available exporting methods: save it in multiple formats, download it as a PDF, send it by email, or store it in the cloud.
With pdfFiller, dealing with documents is always straightforward. Try it now!
Uncompromising security for your PDF editing and eSignature needs
Your private information is safe with pdfFiller. We employ end-to-end encryption, secure cloud storage, and advanced access control to protect your documents and maintain regulatory compliance.
How to fill out release for delivery of

How to fill out release for delivery of
01
To fill out a release for delivery of, follow these steps:
02
Start by indicating the date of the release for delivery form.
03
Specify the recipient's name, address, and contact details.
04
Provide the details of the goods or items being released for delivery.
05
Include any necessary descriptions, such as quantity, size, or specific product information.
06
Indicate the delivery method or shipping carrier to be used.
07
Mention any special instructions or requirements for the delivery.
08
Make sure to include your signature and contact information as the sender.
09
Double-check all the information for accuracy before submitting the form.
10
Keep a copy of the release for delivery form for your records.
Who needs release for delivery of?
01
Release for delivery forms are typically needed by individuals or organizations involved in the shipping or logistics industry. This includes manufacturers, suppliers, distributors, and retailers who need to document the release of goods for transportation and delivery to their intended recipients.
Fill
form
: Try Risk Free
For pdfFiller’s FAQs
Below is a list of the most common customer questions. If you can’t find an answer to your question, please don’t hesitate to reach out to us.
Where do I find release for delivery of?
The premium subscription for pdfFiller provides you with access to an extensive library of fillable forms (over 25M fillable templates) that you can download, fill out, print, and sign. You won’t have any trouble finding state-specific release for delivery of and other forms in the library. Find the template you need and customize it using advanced editing functionalities.
Can I edit release for delivery of on an iOS device?
Yes, you can. With the pdfFiller mobile app, you can instantly edit, share, and sign release for delivery of on your iOS device. Get it at the Apple Store and install it in seconds. The application is free, but you will have to create an account to purchase a subscription or activate a free trial.
How do I edit release for delivery of on an Android device?
You can make any changes to PDF files, such as release for delivery of, with the help of the pdfFiller mobile app for Android. Edit, sign, and send documents right from your mobile device. Install the app and streamline your document management wherever you are.
What is release for delivery of?
Release for delivery of is a document used to authorize the release of goods or products to a specific recipient or location.
Who is required to file release for delivery of?
The party responsible for the shipment or delivery of goods is typically required to file release for delivery of.
How to fill out release for delivery of?
Release for delivery of can be filled out by providing detailed information about the goods being released, the recipient, and any specific delivery instructions.
What is the purpose of release for delivery of?
The purpose of release for delivery of is to ensure that goods are properly released to the correct recipient and that any necessary documentation is provided.
What information must be reported on release for delivery of?
Information such as the description of the goods, quantity, recipient's name and address, delivery instructions, and any special handling requirements must be reported on release for delivery of.
Fill out your release for delivery of online with pdfFiller!
pdfFiller is an end-to-end solution for managing, creating, and editing documents and forms in the cloud. Save time and hassle by preparing your tax forms online.

Release For Delivery Of is not the form you're looking for?Search for another form here.
Relevant keywords
Related Forms
If you believe that this page should be taken down, please follow our DMCA take down process
here
.
This form may include fields for payment information. Data entered in these fields is not covered by PCI DSS compliance.