Form preview

Get the free Dissertation Approval Page Instructions and Template template

Get Form
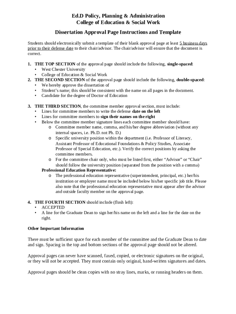
Dissertation Approval Page Instructions and TemplateStudents should electronically submit a template of their blank approval page at least 5 business days prior to their defense date to their chair/advisor.
We are not affiliated with any brand or entity on this form

Get, Create, Make and Sign dissertation approval page instructions

Edit
Edit your dissertation approval page instructions form online
Type text, complete fillable fields, insert images, highlight or blackout data for discretion, add comments, and more.
Add
Add your legally-binding signature
Draw or type your signature, upload a signature image, or capture it with your digital camera.
Share
Share your form instantly
Email, fax, or share your dissertation approval page instructions form via URL. You can also download, print, or export forms to your preferred cloud storage service.

How to edit dissertation approval page instructions online

9.5
Ease of Setup
pdfFiller User Ratings on G2
9.0
Ease of Use
pdfFiller User Ratings on G2
In order to make advantage of the professional PDF editor, follow these steps:
1
Sign into your account. If you don't have a profile yet, click Start Free Trial and sign up for one.
2
Prepare a file. Use the Add New button to start a new project. Then, using your device, upload your file to the system by importing it from internal mail, the cloud, or adding its URL.
3
Edit dissertation approval page instructions. Text may be added and replaced, new objects can be included, pages can be rearranged, watermarks and page numbers can be added, and so on. When you're done editing, click Done and then go to the Documents tab to combine, divide, lock, or unlock the file.
4
Get your file. When you find your file in the docs list, click on its name and choose how you want to save it. To get the PDF, you can save it, send an email with it, or move it to the cloud.
With pdfFiller, it's always easy to deal with documents. Try it right now

Uncompromising security for your PDF editing and eSignature needs

Your private information is safe with pdfFiller. We employ end-to-end encryption, secure cloud storage, and advanced access control to protect your documents and maintain regulatory compliance.
GDPR
AICPA SOC 2
PCI
HIPAA
CCPA
FDA

How to fill out dissertation approval page instructions

Illustration

How to fill out dissertation approval page instructions

01
Start by typing the title of your dissertation in the designated space at the top of the approval page.
02
Indicate your full name below the dissertation title.
03
Enter the name of your institution and its department or program of study.
04
Include the names of your dissertation committee members, with their titles and affiliations.
05
Leave space for each committee member to sign and date the approval page.
06
Make sure to include a line for your own signature and the date on which you completed your dissertation.
07
If needed, include any additional notes or acknowledgements below the signature line.
08
Double-check the specific formatting requirements of your institution or program to ensure compliance before submitting.

Who needs dissertation approval page instructions?

01
Students who are completing a dissertation as part of their academic requirements.
02
Researchers and scholars working in a specific field who wish to publish their findings.
03
Academic institutions and departments that require a formal approval page as part of the dissertation submission process.

What is Dissertation Approval Page Instructions and Template Form?

The Dissertation Approval Page Instructions and Template is a Word document needed to be submitted to the relevant address to provide certain information. It must be filled-out and signed, which is possible in hard copy, or with the help of a certain software such as PDFfiller. This tool helps to fill out any PDF or Word document directly in your browser, customize it depending on your needs and put a legally-binding e-signature. Right after completion, you can send the Dissertation Approval Page Instructions and Template to the appropriate person, or multiple recipients via email or fax. The editable template is printable as well due to PDFfiller feature and options presented for printing out adjustment. In both digital and physical appearance, your form will have got clean and professional look. Also you can turn it into a template to use later, so you don't need to create a new file over and over. You need just to edit the ready sample.

Template Dissertation Approval Page Instructions and Template instructions

Prior to start submitting the Dissertation Approval Page Instructions and Template ms word form, you have to make clear all required details are well prepared. This very part is highly significant, as far as mistakes may lead to unpleasant consequences. It is unpleasant and time-consuming to resubmit the whole word template, letting alone the penalties came from missed deadlines. To cope the digits takes a lot of attention. At a glimpse, there is nothing complicated about this. Yet, it's easy to make a typo. Experts recommend to keep all data and get it separately in a different file. Once you have a template so far, you can easily export it from the document. Anyway, all efforts should be made to provide true and solid data. Doublecheck the information in your Dissertation Approval Page Instructions and Template form while filling out all necessary fields. You are free to use the editing tool in order to correct all mistakes if there remains any.

How should you fill out the Dissertation Approval Page Instructions and Template template

The first thing you need to begin to fill out the form Dissertation Approval Page Instructions and Template is a fillable sample of it. If you're using PDFfiller for this purpose, there are the following options how you can get it:

  • Search for the Dissertation Approval Page Instructions and Template from the PDFfiller’s library.
  • Upload your own Word template to the editing tool, in case you have one.
  • Draw up the document from the beginning with the help of PDFfiller’s creation tool and add the required elements with the help of the editing tools.

No matter what option you favor, it will be possible to modify the document and add more various fancy stuff in it. Nonetheless, if you need a word template containing all fillable fields, you can get it only from the filebase. The rest 2 options are short of this feature, you'll need to insert fields yourself. However, it is very easy and fast to do as well. When you finish it, you'll have a useful document to complete or send to another person by email. The writable fields are easy to put when you need them in the document and can be deleted in one click. Each function of the fields corresponds to a separate type: for text, for date, for checkmarks. When you need other people to put signatures, there is a signature field too. Signing tool makes it possible to put your own autograph. When everything is all set, hit the Done button. And then, you can share your form.

Fill form : Try Risk Free
Users Most Likely To Recommend - Summer 2025
Grid Leader in Small-Business - Summer 2025
High Performer - Summer 2025
Regional Leader - Summer 2025
Easiest To Do Business With - Summer 2025
Best Meets Requirements- Summer 2025
Rate the form
4.7
Satisfied
36 Votes

For pdfFiller’s FAQs

Below is a list of the most common customer questions. If you can’t find an answer to your question, please don’t hesitate to reach out to us.

pdfFiller and Google Docs can be used together to make your documents easier to work with and to make fillable forms right in your Google Drive. The integration will let you make, change, and sign documents, like dissertation approval page instructions, without leaving Google Drive. Add pdfFiller's features to Google Drive, and you'll be able to do more with your paperwork on any internet-connected device.
You certainly can. You get not just a feature-rich PDF editor and fillable form builder with pdfFiller, but also a robust e-signature solution that you can add right to your Chrome browser. You may use our addon to produce a legally enforceable eSignature by typing, sketching, or photographing your signature with your webcam. Choose your preferred method and eSign your dissertation approval page instructions in minutes.
You may quickly make your eSignature using pdfFiller and then eSign your dissertation approval page instructions right from your mailbox using pdfFiller's Gmail add-on. Please keep in mind that in order to preserve your signatures and signed papers, you must first create an account.
Dissertation approval page instructions outline the guidelines and requirements for formatting and contents of the approval page of a dissertation.
Graduate students completing a dissertation as part of their academic program are required to file dissertation approval page instructions.
To fill out dissertation approval page instructions, students must carefully follow the guidelines provided by their academic institution and ensure all required information is accurately reported.
The purpose of dissertation approval page instructions is to ensure consistency and professionalism in the formatting of the approval page of a dissertation.
Information such as the dissertation title, author's name, committee members' names, and the approval date must be reported on dissertation approval page instructions.
Fill out your dissertation approval page instructions online with pdfFiller!

pdfFiller is an end-to-end solution for managing, creating, and editing documents and forms in the cloud. Save time and hassle by preparing your tax forms online.

Get started now
Form preview
If you believe that this page should be taken down, please follow our DMCA take down process here .
This form may include fields for payment information. Data entered in these fields is not covered by PCI DSS compliance.