Get the free APPLICATION FOR A VARIANCE HEARING - Albemarle, NC
Show details
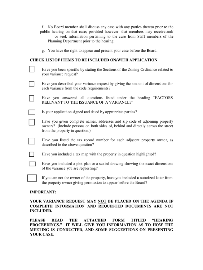
APPLICATION FOR A VARIANCE HEARING CITY OF ALBEMARLE INSTRUCTIONS FOR FILING AN APPLICATION FOR A Variances Application must be filed at least fifteen (15) days prior to the next regularly scheduled
We are not affiliated with any brand or entity on this form
Get, Create, Make and Sign application for a variance
Edit your application for a variance form online
Type text, complete fillable fields, insert images, highlight or blackout data for discretion, add comments, and more.
Add your legally-binding signature
Draw or type your signature, upload a signature image, or capture it with your digital camera.
Share your form instantly
Email, fax, or share your application for a variance form via URL. You can also download, print, or export forms to your preferred cloud storage service.
Editing application for a variance online
To use the professional PDF editor, follow these steps:
1
Set up an account. If you are a new user, click Start Free Trial and establish a profile.
2
Upload a document. Select Add New on your Dashboard and transfer a file into the system in one of the following ways: by uploading it from your device or importing from the cloud, web, or internal mail. Then, click Start editing.
3
Edit application for a variance. Add and change text, add new objects, move pages, add watermarks and page numbers, and more. Then click Done when you're done editing and go to the Documents tab to merge or split the file. If you want to lock or unlock the file, click the lock or unlock button.
4
Get your file. Select your file from the documents list and pick your export method. You may save it as a PDF, email it, or upload it to the cloud.
With pdfFiller, it's always easy to deal with documents.
Uncompromising security for your PDF editing and eSignature needs
Your private information is safe with pdfFiller. We employ end-to-end encryption, secure cloud storage, and advanced access control to protect your documents and maintain regulatory compliance.
How to fill out application for a variance
How to fill out application for a variance
01
Start by gathering all the necessary information and documents required for the application.
02
Begin by filling out the header section of the application form with your personal details such as name, address, contact information, etc.
03
Read the instructions thoroughly and understand the purpose of the variance application.
04
Provide a detailed description of the variance you are seeking and explain why it is necessary.
05
Attach any supporting documents or evidence that can strengthen your case for the variance.
06
Review the completed application form to ensure that all information provided is accurate and complete.
07
Sign and date the application form before submitting it to the relevant authority or department responsible for processing variance applications.
08
Follow up on the status of your application and provide any additional information or documentation if required.
09
Once the application is approved, comply with any conditions or requirements specified by the authority granting the variance.
Who needs application for a variance?
01
Anyone who wishes to deviate from the standard rules, regulations, or restrictions imposed by a governing body.
02
Individuals, businesses, or organizations seeking to make changes or modifications to their property, operations, or activities that are not allowed by the existing regulations.
03
Individuals or entities requiring an exception or special permission due to unique circumstances or specific needs.
04
Homeowners planning to build or remodel structures that do not comply with zoning ordinances or building codes.
05
Entrepreneurs or developers looking to start a business or construct buildings in areas not designated for such activities.
06
Those looking to host events or activities that may have noise, parking, or other impact concerns on the surrounding community.
Fill
form
: Try Risk Free
For pdfFiller’s FAQs
Below is a list of the most common customer questions. If you can’t find an answer to your question, please don’t hesitate to reach out to us.
How do I make changes in application for a variance?
pdfFiller allows you to edit not only the content of your files, but also the quantity and sequence of the pages. Upload your application for a variance to the editor and make adjustments in a matter of seconds. Text in PDFs may be blacked out, typed in, and erased using the editor. You may also include photos, sticky notes, and text boxes, among other things.
Can I edit application for a variance on an iOS device?
Create, modify, and share application for a variance using the pdfFiller iOS app. Easy to install from the Apple Store. You may sign up for a free trial and then purchase a membership.
How do I complete application for a variance on an iOS device?
Download and install the pdfFiller iOS app. Then, launch the app and log in or create an account to have access to all of the editing tools of the solution. Upload your application for a variance from your device or cloud storage to open it, or input the document URL. After filling out all of the essential areas in the document and eSigning it (if necessary), you may save it or share it with others.
What is application for a variance?
The application for a variance is a request to deviate from the standard regulations or requirements.
Who is required to file application for a variance?
Any individual or organization looking to deviate from regulations or requirements is required to file an application for a variance.
How to fill out application for a variance?
To fill out an application for a variance, one must provide all necessary information requested and clearly state the reasons for the request.
What is the purpose of application for a variance?
The purpose of an application for a variance is to request permission to deviate from standard regulations or requirements in a specific situation.
What information must be reported on application for a variance?
The application for a variance must include details about the specific regulations being deviated from, the reasons for the request, and any supporting documentation.
Fill out your application for a variance online with pdfFiller!
pdfFiller is an end-to-end solution for managing, creating, and editing documents and forms in the cloud. Save time and hassle by preparing your tax forms online.
Application For A Variance is not the form you're looking for?Search for another form here.
Relevant keywords
Related Forms
If you believe that this page should be taken down, please follow our DMCA take down process
here
.
This form may include fields for payment information. Data entered in these fields is not covered by PCI DSS compliance.