
Get the free National Best Practices for Sexual Assault Kits: A Multidisciplinary ...
Show details
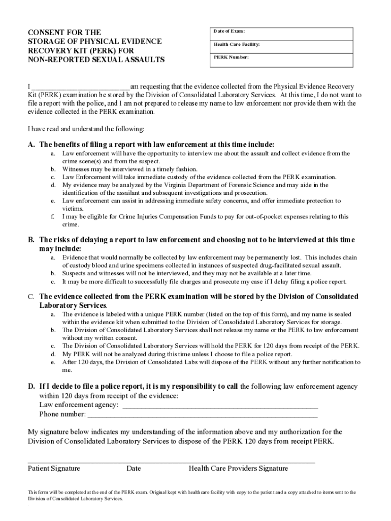
CONSENT FOR THE STORAGE OF PHYSICAL EVIDENCE RECOVERY KIT (PERK) FOR UNREPORTED SEXUAL ASSAULTSDate of Exam: Health Care Facility: PERK Number:I ___am I requesting that the evidence collected from
We are not affiliated with any brand or entity on this form
Get, Create, Make and Sign national best practices for

Edit your national best practices for form online
Type text, complete fillable fields, insert images, highlight or blackout data for discretion, add comments, and more.

Add your legally-binding signature
Draw or type your signature, upload a signature image, or capture it with your digital camera.

Share your form instantly
Email, fax, or share your national best practices for form via URL. You can also download, print, or export forms to your preferred cloud storage service.
Editing national best practices for online
To use our professional PDF editor, follow these steps:
1
Log in. Click Start Free Trial and create a profile if necessary.
2
Prepare a file. Use the Add New button to start a new project. Then, using your device, upload your file to the system by importing it from internal mail, the cloud, or adding its URL.
3
Edit national best practices for. Add and replace text, insert new objects, rearrange pages, add watermarks and page numbers, and more. Click Done when you are finished editing and go to the Documents tab to merge, split, lock or unlock the file.
4
Save your file. Select it in the list of your records. Then, move the cursor to the right toolbar and choose one of the available exporting methods: save it in multiple formats, download it as a PDF, send it by email, or store it in the cloud.
pdfFiller makes working with documents easier than you could ever imagine. Create an account to find out for yourself how it works!
Uncompromising security for your PDF editing and eSignature needs
Your private information is safe with pdfFiller. We employ end-to-end encryption, secure cloud storage, and advanced access control to protect your documents and maintain regulatory compliance.
How to fill out national best practices for

How to fill out national best practices for
01
To fill out national best practices, follow these steps:
02
Begin by reviewing the national best practices guidelines or instructions.
03
Understand the purpose and objective of the best practices.
04
Collect relevant data, information, and evidence that is required to support the best practices.
05
Organize the collected information systematically.
06
Write the best practices in a point-by-point format, ensuring clarity and precision.
07
Use appropriate language and tone to convey the information effectively.
08
Include any necessary references or citations to support the best practices.
09
Review and proofread the filled-out document for any errors or inconsistencies.
10
Seek feedback from relevant stakeholders or experts, if necessary.
11
Make any necessary revisions based on the feedback received.
12
Finalize the filled-out national best practices document and submit it as instructed.
Who needs national best practices for?
01
National best practices are needed by various stakeholders, including:
02
- Government organizations or agencies responsible for policy-making
03
- Industry associations or bodies seeking to establish industry standards
04
- Education institutions or researchers studying specific subjects or fields
05
- Non-profit organizations aiming to improve their operations or services
06
- Businesses or corporations interested in adopting industry-leading practices
07
- Professional individuals or groups looking to enhance their skills or knowledge
08
- Policy advisors or consultants providing expert guidance
09
- Regulatory authorities overseeing specific sectors or industries
10
- International organizations promoting best practices globally
Fill
form
: Try Risk Free
For pdfFiller’s FAQs
Below is a list of the most common customer questions. If you can’t find an answer to your question, please don’t hesitate to reach out to us.
How do I edit national best practices for straight from my smartphone?
The pdfFiller apps for iOS and Android smartphones are available in the Apple Store and Google Play Store. You may also get the program at https://edit-pdf-ios-android.pdffiller.com/. Open the web app, sign in, and start editing national best practices for.
Can I edit national best practices for on an Android device?
You can make any changes to PDF files, like national best practices for, with the help of the pdfFiller Android app. Edit, sign, and send documents right from your phone or tablet. You can use the app to make document management easier wherever you are.
How do I fill out national best practices for on an Android device?
On Android, use the pdfFiller mobile app to finish your national best practices for. Adding, editing, deleting text, signing, annotating, and more are all available with the app. All you need is a smartphone and internet.
What is national best practices for?
National best practices are guidelines or strategies that are considered the most effective in a particular area or industry.
Who is required to file national best practices for?
All organizations or individuals who are involved in the specific area or industry for which the national best practices are established.
How to fill out national best practices for?
National best practices can be filled out by following the guidelines provided in the documentation or online platform where the best practices are available.
What is the purpose of national best practices for?
The purpose of national best practices is to provide a standard set of guidelines that can help improve performance, efficiency, and outcomes within a specific area or industry.
What information must be reported on national best practices for?
The information that must be reported on national best practices may vary depending on the specific area or industry, but typically includes data, statistics, recommendations, and best practices.
Fill out your national best practices for online with pdfFiller!
pdfFiller is an end-to-end solution for managing, creating, and editing documents and forms in the cloud. Save time and hassle by preparing your tax forms online.

National Best Practices For is not the form you're looking for?Search for another form here.
Relevant keywords
Related Forms
If you believe that this page should be taken down, please follow our DMCA take down process
here
.
This form may include fields for payment information. Data entered in these fields is not covered by PCI DSS compliance.