Get the free quizlet.com462843950chapter-02-business-ethicsChapter 02 Business Ethics And Social ...
Show details
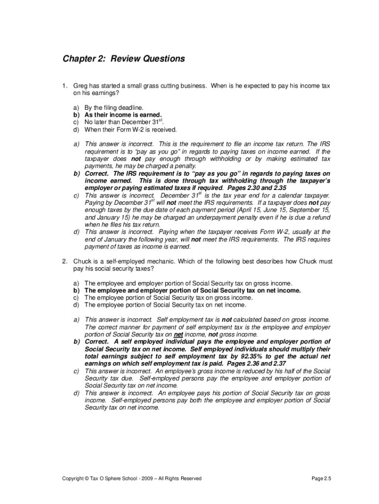
Chapter 2: Review Questions 1. Greg has started a small grass cutting business. When is he expected to pay his income tax on his earnings? a) b) c) d)By the filing deadline. As their income is earned.
We are not affiliated with any brand or entity on this form
Get, Create, Make and Sign quizletcom462843950chapter-02-business-ethicschapter 02 business ethics
Edit your quizletcom462843950chapter-02-business-ethicschapter 02 business ethics form online
Type text, complete fillable fields, insert images, highlight or blackout data for discretion, add comments, and more.
Add your legally-binding signature
Draw or type your signature, upload a signature image, or capture it with your digital camera.
Share your form instantly
Email, fax, or share your quizletcom462843950chapter-02-business-ethicschapter 02 business ethics form via URL. You can also download, print, or export forms to your preferred cloud storage service.
How to edit quizletcom462843950chapter-02-business-ethicschapter 02 business ethics online
Follow the steps down below to benefit from a competent PDF editor:
1
Log in. Click Start Free Trial and create a profile if necessary.
2
Prepare a file. Use the Add New button. Then upload your file to the system from your device, importing it from internal mail, the cloud, or by adding its URL.
3
Edit quizletcom462843950chapter-02-business-ethicschapter 02 business ethics. Text may be added and replaced, new objects can be included, pages can be rearranged, watermarks and page numbers can be added, and so on. When you're done editing, click Done and then go to the Documents tab to combine, divide, lock, or unlock the file.
4
Get your file. Select the name of your file in the docs list and choose your preferred exporting method. You can download it as a PDF, save it in another format, send it by email, or transfer it to the cloud.
With pdfFiller, it's always easy to work with documents. Check it out!
Uncompromising security for your PDF editing and eSignature needs
Your private information is safe with pdfFiller. We employ end-to-end encryption, secure cloud storage, and advanced access control to protect your documents and maintain regulatory compliance.
How to fill out quizletcom462843950chapter-02-business-ethicschapter 02 business ethics
How to fill out quizletcom462843950chapter-02-business-ethicschapter 02 business ethics
01
To fill out quizlet.com462843950chapter-02-business-ethicschapter 02 business ethics, follow these steps:
02
Go to quizlet.com462843950chapter-02-business-ethicschapter 02 business ethics page.
03
Read the questions carefully.
04
Select the correct answer for each question.
05
If required, provide additional information or explanations.
06
Double-check your answers before submitting.
07
Click on the submit button to complete the quiz.
Who needs quizletcom462843950chapter-02-business-ethicschapter 02 business ethics?
01
Anyone studying or interested in business ethics can benefit from quizlet.com462843950chapter-02-business-ethicschapter 02 business ethics. It is particularly useful for students taking business ethics courses, professionals working in business-related fields, and individuals seeking to enhance their understanding of ethical principles and decision-making in business contexts.
Fill
form
: Try Risk Free
For pdfFiller’s FAQs
Below is a list of the most common customer questions. If you can’t find an answer to your question, please don’t hesitate to reach out to us.
How do I edit quizletcom462843950chapter-02-business-ethicschapter 02 business ethics straight from my smartphone?
The easiest way to edit documents on a mobile device is using pdfFiller’s mobile-native apps for iOS and Android. You can download those from the Apple Store and Google Play, respectively. You can learn more about the apps here. Install and log in to the application to start editing quizletcom462843950chapter-02-business-ethicschapter 02 business ethics.
How do I fill out quizletcom462843950chapter-02-business-ethicschapter 02 business ethics using my mobile device?
On your mobile device, use the pdfFiller mobile app to complete and sign quizletcom462843950chapter-02-business-ethicschapter 02 business ethics. Visit our website (https://edit-pdf-ios-android.pdffiller.com/) to discover more about our mobile applications, the features you'll have access to, and how to get started.
Can I edit quizletcom462843950chapter-02-business-ethicschapter 02 business ethics on an iOS device?
Yes, you can. With the pdfFiller mobile app, you can instantly edit, share, and sign quizletcom462843950chapter-02-business-ethicschapter 02 business ethics on your iOS device. Get it at the Apple Store and install it in seconds. The application is free, but you will have to create an account to purchase a subscription or activate a free trial.
What is quizletcom462843950chapter-02-business-ethicschapter 02 business ethics?
Quizletcom462843950chapter-02-business-ethicschapter 02 business ethics is a study material related to ethical practices in the business world.
Who is required to file quizletcom462843950chapter-02-business-ethicschapter 02 business ethics?
Any individual or organization involved in business activities is required to understand and follow business ethics, as outlined in the material.
How to fill out quizletcom462843950chapter-02-business-ethicschapter 02 business ethics?
To fill out quizletcom462843950chapter-02-business-ethicschapter 02 business ethics, one must carefully read and comprehend the content provided in the material and apply the ethical principles to their business practices.
What is the purpose of quizletcom462843950chapter-02-business-ethicschapter 02 business ethics?
The purpose of quizletcom462843950chapter-02-business-ethicschapter 02 business ethics is to educate individuals and organizations on the importance of conducting business in an ethical manner to promote fairness, integrity, and trust.
What information must be reported on quizletcom462843950chapter-02-business-ethicschapter 02 business ethics?
The material may include information on ethical decision-making, corporate social responsibility, conflicts of interest, whistleblowing, and ethical leadership, among other relevant topics.
Fill out your quizletcom462843950chapter-02-business-ethicschapter 02 business ethics online with pdfFiller!
pdfFiller is an end-to-end solution for managing, creating, and editing documents and forms in the cloud. Save time and hassle by preparing your tax forms online.
quizletcom462843950chapter-02-Business-Ethicschapter 02 Business Ethics is not the form you're looking for?Search for another form here.
Relevant keywords
Related Forms
If you believe that this page should be taken down, please follow our DMCA take down process
here
.
This form may include fields for payment information. Data entered in these fields is not covered by PCI DSS compliance.