Get the free Duplicate Share Certificate for Listed Company are still relevant?
Show details
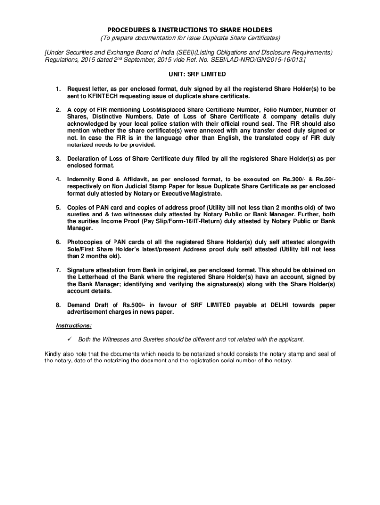
PROCEDURES & INSTRUCTIONS TO shareholders(To prepare documentation for issue Duplicate Share Certificates) [Under Securities and Exchange Board of India (SEMI)(Listing Obligations and Disclosure Requirements)
We are not affiliated with any brand or entity on this form
Get, Create, Make and Sign duplicate share certificate for
Edit your duplicate share certificate for form online
Type text, complete fillable fields, insert images, highlight or blackout data for discretion, add comments, and more.
Add your legally-binding signature
Draw or type your signature, upload a signature image, or capture it with your digital camera.
Share your form instantly
Email, fax, or share your duplicate share certificate for form via URL. You can also download, print, or export forms to your preferred cloud storage service.
Editing duplicate share certificate for online
In order to make advantage of the professional PDF editor, follow these steps below:
1
Register the account. Begin by clicking Start Free Trial and create a profile if you are a new user.
2
Prepare a file. Use the Add New button. Then upload your file to the system from your device, importing it from internal mail, the cloud, or by adding its URL.
3
Edit duplicate share certificate for. Rearrange and rotate pages, add new and changed texts, add new objects, and use other useful tools. When you're done, click Done. You can use the Documents tab to merge, split, lock, or unlock your files.
4
Save your file. Select it from your list of records. Then, move your cursor to the right toolbar and choose one of the exporting options. You can save it in multiple formats, download it as a PDF, send it by email, or store it in the cloud, among other things.
Dealing with documents is simple using pdfFiller. Now is the time to try it!
Uncompromising security for your PDF editing and eSignature needs
Your private information is safe with pdfFiller. We employ end-to-end encryption, secure cloud storage, and advanced access control to protect your documents and maintain regulatory compliance.
How to fill out duplicate share certificate for
How to fill out duplicate share certificate for
01
Obtain a duplicate share certificate application form from the concerned company's registrar or transfer agent.
02
Fill out the application form by providing the necessary personal and share details, such as your name, address, shareholding information, and the reason for requesting a duplicate certificate.
03
Attach any supporting documents required by the registrar, such as an affidavit, indemnity bond, or police report, if applicable.
04
Pay the prescribed fee for the issuance of a duplicate share certificate. The fee amount and payment method can usually be found on the application form.
05
Submit the filled-out form along with the supporting documents and payment to the registrar or transfer agent either by mail or in person.
06
Wait for the processing of your application. The time required may vary depending on the company's procedures and workload.
07
Once your application is approved, you will receive a duplicate share certificate at the provided address or can collect it from the registrar's office.
Who needs duplicate share certificate for?
01
Shareholders who have lost or misplaced their original share certificate.
02
Shareholders whose share certificates have been stolen.
03
Shareholders whose share certificates have been damaged to an extent that makes them unusable.
04
Shareholders who have inherited shares and need to obtain duplicate certificates in their own name.
05
Shareholders who want to convert their physical share certificates into electronic or dematerialized form may also need to request duplicate certificates.
Fill
form
: Try Risk Free
For pdfFiller’s FAQs
Below is a list of the most common customer questions. If you can’t find an answer to your question, please don’t hesitate to reach out to us.
Where do I find duplicate share certificate for?
It's simple using pdfFiller, an online document management tool. Use our huge online form collection (over 25M fillable forms) to quickly discover the duplicate share certificate for. Open it immediately and start altering it with sophisticated capabilities.
How do I make changes in duplicate share certificate for?
The editing procedure is simple with pdfFiller. Open your duplicate share certificate for in the editor. You may also add photos, draw arrows and lines, insert sticky notes and text boxes, and more.
How do I edit duplicate share certificate for on an iOS device?
Create, edit, and share duplicate share certificate for from your iOS smartphone with the pdfFiller mobile app. Installing it from the Apple Store takes only a few seconds. You may take advantage of a free trial and select a subscription that meets your needs.
What is duplicate share certificate for?
Duplicate share certificate is issued when the original share certificate is lost, stolen, or damaged.
Who is required to file duplicate share certificate for?
Shareholders or investors who have lost their original share certificate are required to file for a duplicate share certificate.
How to fill out duplicate share certificate for?
To fill out a duplicate share certificate, shareholders need to provide details such as their name, address, number of shares held, and proof of loss or damage of the original certificate.
What is the purpose of duplicate share certificate for?
The purpose of a duplicate share certificate is to provide shareholders with a replacement for their lost, stolen, or damaged original share certificate.
What information must be reported on duplicate share certificate for?
The duplicate share certificate must include details such as the shareholder's name, address, number of shares held, and proof of loss or damage of the original certificate.
Fill out your duplicate share certificate for online with pdfFiller!
pdfFiller is an end-to-end solution for managing, creating, and editing documents and forms in the cloud. Save time and hassle by preparing your tax forms online.
Duplicate Share Certificate For is not the form you're looking for?Search for another form here.
Relevant keywords
Related Forms
If you believe that this page should be taken down, please follow our DMCA take down process
here
.
This form may include fields for payment information. Data entered in these fields is not covered by PCI DSS compliance.