
Get the free Graduate PLUS Loan Application (LSU Online) 2022-2023
Show details
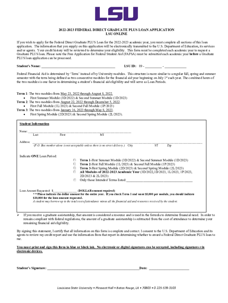
20222023 FEDERAL DIRECT GRADUATE PLUS LOAN APPLICATION LSU ONLINE If you wish to apply for the Federal Direct Graduate PLUS Loan for the 20222023 academic year, you must complete all sections of this
We are not affiliated with any brand or entity on this form
Get, Create, Make and Sign graduate plus loan application

Edit your graduate plus loan application form online
Type text, complete fillable fields, insert images, highlight or blackout data for discretion, add comments, and more.

Add your legally-binding signature
Draw or type your signature, upload a signature image, or capture it with your digital camera.

Share your form instantly
Email, fax, or share your graduate plus loan application form via URL. You can also download, print, or export forms to your preferred cloud storage service.
How to edit graduate plus loan application online
Use the instructions below to start using our professional PDF editor:
1
Set up an account. If you are a new user, click Start Free Trial and establish a profile.
2
Prepare a file. Use the Add New button. Then upload your file to the system from your device, importing it from internal mail, the cloud, or by adding its URL.
3
Edit graduate plus loan application. Rearrange and rotate pages, add and edit text, and use additional tools. To save changes and return to your Dashboard, click Done. The Documents tab allows you to merge, divide, lock, or unlock files.
4
Get your file. Select your file from the documents list and pick your export method. You may save it as a PDF, email it, or upload it to the cloud.
With pdfFiller, dealing with documents is always straightforward.
Uncompromising security for your PDF editing and eSignature needs
Your private information is safe with pdfFiller. We employ end-to-end encryption, secure cloud storage, and advanced access control to protect your documents and maintain regulatory compliance.
How to fill out graduate plus loan application

How to fill out graduate plus loan application
01
Visit the official website of the financial institution from which you want to apply for the Graduate PLUS Loan.
02
Create an account or log in to your existing account on the website.
03
Locate the section for student loans or financial aid.
04
Find the application form for the Graduate PLUS Loan.
05
Provide your personal information, including your name, address, social security number, and contact details.
06
Enter your academic information, such as the name of the school you are attending and the degree program you are enrolled in.
07
Specify the loan amount you are requesting.
08
Complete the Free Application for Federal Student Aid (FAFSA) if you haven't already.
09
Consent to a credit check, as the Graduate PLUS Loan requires a satisfactory credit history.
10
Submit the application and wait for a response from the financial institution.
11
If approved, review the terms and conditions of the loan and accept the offer.
12
Complete any additional requirements or paperwork as requested by the financial institution.
13
Receive the funds directly from the financial institution or through your educational institution, depending on the disbursement method.
Who needs graduate plus loan application?
01
Graduate students who require additional funds to cover their educational expenses beyond what is available through other federal student aid programs such as Stafford loans.
02
Students who have already completed the Free Application for Federal Student Aid (FAFSA) and are eligible for federal financial aid.
03
Individuals pursuing graduate or professional degree programs such as master's, doctoral, or professional degrees.
Fill
form
: Try Risk Free
For pdfFiller’s FAQs
Below is a list of the most common customer questions. If you can’t find an answer to your question, please don’t hesitate to reach out to us.
Can I create an electronic signature for signing my graduate plus loan application in Gmail?
You can easily create your eSignature with pdfFiller and then eSign your graduate plus loan application directly from your inbox with the help of pdfFiller’s add-on for Gmail. Please note that you must register for an account in order to save your signatures and signed documents.
How can I edit graduate plus loan application on a smartphone?
You may do so effortlessly with pdfFiller's iOS and Android apps, which are available in the Apple Store and Google Play Store, respectively. You may also obtain the program from our website: https://edit-pdf-ios-android.pdffiller.com/. Open the application, sign in, and begin editing graduate plus loan application right away.
How do I complete graduate plus loan application on an Android device?
Use the pdfFiller mobile app and complete your graduate plus loan application and other documents on your Android device. The app provides you with all essential document management features, such as editing content, eSigning, annotating, sharing files, etc. You will have access to your documents at any time, as long as there is an internet connection.
What is graduate plus loan application?
The Graduate PLUS Loan application is a form that graduate or professional students can use to apply for additional federal loan funds beyond the standard Direct Unsubsidized Loan.
Who is required to file graduate plus loan application?
Graduate or professional students who need additional loan funds beyond the standard Direct Unsubsidized Loan are required to file a Graduate PLUS Loan application.
How to fill out graduate plus loan application?
To fill out a Graduate PLUS Loan application, students can visit the official government website or contact their school's financial aid office for guidance.
What is the purpose of graduate plus loan application?
The purpose of the Graduate PLUS Loan application is to provide graduate or professional students with the opportunity to borrow additional loan funds to cover educational expenses.
What information must be reported on graduate plus loan application?
Information such as personal and financial details, school information, and loan amount requested must be reported on the Graduate PLUS Loan application.
Fill out your graduate plus loan application online with pdfFiller!
pdfFiller is an end-to-end solution for managing, creating, and editing documents and forms in the cloud. Save time and hassle by preparing your tax forms online.

Graduate Plus Loan Application is not the form you're looking for?Search for another form here.
Relevant keywords
Related Forms
If you believe that this page should be taken down, please follow our DMCA take down process
here
.
This form may include fields for payment information. Data entered in these fields is not covered by PCI DSS compliance.