Get the free Third-Party Compliance Oversight
Show details
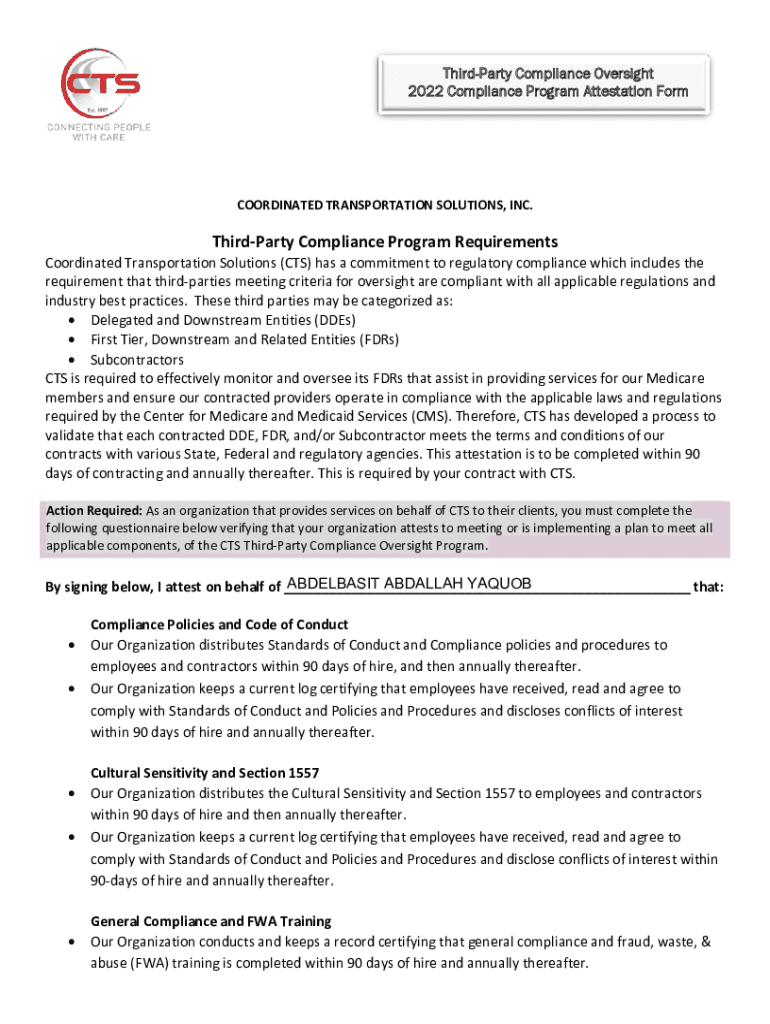
ThirdParty Compliance Oversight 2022 Compliance Program Attestation FormCOORDINATED TRANSPORTATION SOLUTIONS, INC. ThirdParty Compliance Program RequirementsCoordinated Transportation Solutions (CTS)
We are not affiliated with any brand or entity on this form
Get, Create, Make and Sign third-party compliance oversight
Edit your third-party compliance oversight form online
Type text, complete fillable fields, insert images, highlight or blackout data for discretion, add comments, and more.
Add your legally-binding signature
Draw or type your signature, upload a signature image, or capture it with your digital camera.
Share your form instantly
Email, fax, or share your third-party compliance oversight form via URL. You can also download, print, or export forms to your preferred cloud storage service.
How to edit third-party compliance oversight online
In order to make advantage of the professional PDF editor, follow these steps:
1
Register the account. Begin by clicking Start Free Trial and create a profile if you are a new user.
2
Upload a document. Select Add New on your Dashboard and transfer a file into the system in one of the following ways: by uploading it from your device or importing from the cloud, web, or internal mail. Then, click Start editing.
3
Edit third-party compliance oversight. Add and replace text, insert new objects, rearrange pages, add watermarks and page numbers, and more. Click Done when you are finished editing and go to the Documents tab to merge, split, lock or unlock the file.
4
Save your file. Choose it from the list of records. Then, shift the pointer to the right toolbar and select one of the several exporting methods: save it in multiple formats, download it as a PDF, email it, or save it to the cloud.
With pdfFiller, it's always easy to work with documents. Check it out!
Uncompromising security for your PDF editing and eSignature needs
Your private information is safe with pdfFiller. We employ end-to-end encryption, secure cloud storage, and advanced access control to protect your documents and maintain regulatory compliance.
How to fill out third-party compliance oversight
How to fill out third-party compliance oversight
01
To fill out third-party compliance oversight, follow these steps:
02
Identify the third-party vendors or partners that your organization works with.
03
Review and understand the compliance requirements that these vendors or partners must meet.
04
Develop a comprehensive compliance checklist or questionnaire to assess the compliance of the third-party.
05
Share the checklist or questionnaire with the third-party and request them to fill it out.
06
Review the filled out checklist or questionnaire and verify the compliance status of the third-party.
07
If any non-compliance issues are identified, work with the third-party to develop a remediation plan.
08
Continuously monitor and enforce compliance with the third-party by conducting regular assessments and audits.
09
Document all compliance oversight activities for future reference and reporting purposes.
10
Regularly update the compliance checklist or questionnaire based on changes in regulations or business requirements.
11
Establish a process for addressing any potential risks or breaches in third-party compliance.
Who needs third-party compliance oversight?
01
Any organization that engages third-party vendors or partners in its operations needs third-party compliance oversight.
02
This can include industries such as banking, healthcare, financial services, technology, retail, and manufacturing.
03
Third-party compliance oversight ensures that the vendors or partners comply with legal and regulatory requirements, industry standards, and ethical practices.
04
It helps mitigate risks associated with non-compliance, data breaches, fraud, corruption, and reputational damage.
05
Moreover, organizations that operate in highly regulated sectors or handle sensitive customer data have a greater need for third-party compliance oversight.
Fill
form
: Try Risk Free
For pdfFiller’s FAQs
Below is a list of the most common customer questions. If you can’t find an answer to your question, please don’t hesitate to reach out to us.
How can I send third-party compliance oversight for eSignature?
To distribute your third-party compliance oversight, simply send it to others and receive the eSigned document back instantly. Post or email a PDF that you've notarized online. Doing so requires never leaving your account.
How can I fill out third-party compliance oversight on an iOS device?
In order to fill out documents on your iOS device, install the pdfFiller app. Create an account or log in to an existing one if you have a subscription to the service. Once the registration process is complete, upload your third-party compliance oversight. You now can take advantage of pdfFiller's advanced functionalities: adding fillable fields and eSigning documents, and accessing them from any device, wherever you are.
How do I fill out third-party compliance oversight on an Android device?
On an Android device, use the pdfFiller mobile app to finish your third-party compliance oversight. The program allows you to execute all necessary document management operations, such as adding, editing, and removing text, signing, annotating, and more. You only need a smartphone and an internet connection.
What is third-party compliance oversight?
Third-party compliance oversight refers to the process of monitoring and ensuring that third-party vendors or partners comply with all relevant laws, regulations, and company policies.
Who is required to file third-party compliance oversight?
Any company that engages third-party vendors or partners and wants to ensure compliance with laws and regulations may be required to file third-party compliance oversight.
How to fill out third-party compliance oversight?
Third-party compliance oversight can be filled out by gathering relevant information about third-party vendors, assessing their compliance practices, and documenting any potential risks or issues.
What is the purpose of third-party compliance oversight?
The purpose of third-party compliance oversight is to mitigate risks associated with third-party relationships, ensure adherence to regulations, and protect the company's reputation.
What information must be reported on third-party compliance oversight?
Information reported on third-party compliance oversight may include vendor details, compliance assessment results, identified risks, and any remediation plans.
Fill out your third-party compliance oversight online with pdfFiller!
pdfFiller is an end-to-end solution for managing, creating, and editing documents and forms in the cloud. Save time and hassle by preparing your tax forms online.
Third-Party Compliance Oversight is not the form you're looking for?Search for another form here.
Relevant keywords
Related Forms
If you believe that this page should be taken down, please follow our DMCA take down process
here
.
This form may include fields for payment information. Data entered in these fields is not covered by PCI DSS compliance.