Get the free be.arizona.edu sites abeINTERNSHIP APPLICATION FORM STUDENT ... - University of Arizona
Show details
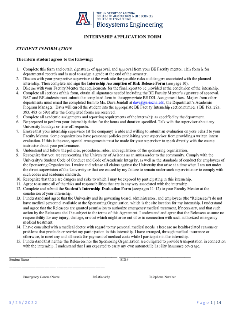
INTERNSHIP APPLICATION FORM STUDENT INFORMATION The intern student agrees to the following: 1. Complete this form and obtain signatures of approval, and approval from your BE Faculty mentor. This
We are not affiliated with any brand or entity on this form
Get, Create, Make and Sign bearizonaedu sites abeinternship application
Edit your bearizonaedu sites abeinternship application form online
Type text, complete fillable fields, insert images, highlight or blackout data for discretion, add comments, and more.
Add your legally-binding signature
Draw or type your signature, upload a signature image, or capture it with your digital camera.
Share your form instantly
Email, fax, or share your bearizonaedu sites abeinternship application form via URL. You can also download, print, or export forms to your preferred cloud storage service.
Editing bearizonaedu sites abeinternship application online
In order to make advantage of the professional PDF editor, follow these steps:
1
Log in to your account. Start Free Trial and sign up a profile if you don't have one.
2
Upload a file. Select Add New on your Dashboard and upload a file from your device or import it from the cloud, online, or internal mail. Then click Edit.
3
Edit bearizonaedu sites abeinternship application. Rearrange and rotate pages, add and edit text, and use additional tools. To save changes and return to your Dashboard, click Done. The Documents tab allows you to merge, divide, lock, or unlock files.
4
Get your file. Select the name of your file in the docs list and choose your preferred exporting method. You can download it as a PDF, save it in another format, send it by email, or transfer it to the cloud.
Dealing with documents is simple using pdfFiller. Try it right now!
Uncompromising security for your PDF editing and eSignature needs
Your private information is safe with pdfFiller. We employ end-to-end encryption, secure cloud storage, and advanced access control to protect your documents and maintain regulatory compliance.
How to fill out bearizonaedu sites abeinternship application
How to fill out bearizonaedu sites abeinternship application
01
Visit the bearizonaedu website.
02
Navigate to the ABE Internship section.
03
Click on the ABE Internship Application.
04
Fill out the application form by providing personal details such as name, contact information, and address.
05
Answer all the required questions accurately and thoroughly.
06
Upload any necessary documents or supporting materials.
07
Review the application for any errors or missing information.
08
Submit the completed application.
09
Keep a copy of the application confirmation for future reference.
Who needs bearizonaedu sites abeinternship application?
01
Anyone who is interested in applying for the ABE Internship program at bearizonaedu needs to fill out the bearizonaedu sites abeinternship application.
Fill
form
: Try Risk Free
For pdfFiller’s FAQs
Below is a list of the most common customer questions. If you can’t find an answer to your question, please don’t hesitate to reach out to us.
How can I send bearizonaedu sites abeinternship application to be eSigned by others?
bearizonaedu sites abeinternship application is ready when you're ready to send it out. With pdfFiller, you can send it out securely and get signatures in just a few clicks. PDFs can be sent to you by email, text message, fax, USPS mail, or notarized on your account. You can do this right from your account. Become a member right now and try it out for yourself!
How do I edit bearizonaedu sites abeinternship application in Chrome?
Add pdfFiller Google Chrome Extension to your web browser to start editing bearizonaedu sites abeinternship application and other documents directly from a Google search page. The service allows you to make changes in your documents when viewing them in Chrome. Create fillable documents and edit existing PDFs from any internet-connected device with pdfFiller.
Can I edit bearizonaedu sites abeinternship application on an Android device?
You can make any changes to PDF files, like bearizonaedu sites abeinternship application, with the help of the pdfFiller Android app. Edit, sign, and send documents right from your phone or tablet. You can use the app to make document management easier wherever you are.
What is bearizonaedu sites abeinternship application?
The BearizonaEDU sites AB internship application is a program designed for students seeking internship opportunities at Bearizona, where they can gain practical experience and skills in the field of wildlife conservation and education.
Who is required to file bearizonaedu sites abeinternship application?
Students who wish to participate in the internship program at Bearizona are required to file the AB internship application.
How to fill out bearizonaedu sites abeinternship application?
To fill out the BearizonaEDU sites AB internship application, interested candidates must provide personal information, educational background, relevant experience, and answers to specific questions related to their motivation and goals for applying.
What is the purpose of bearizonaedu sites abeinternship application?
The purpose of the BearizonaEDU sites AB internship application is to assess candidates' suitability for internship positions and to ensure they meet the qualifications necessary for the program.
What information must be reported on bearizonaedu sites abeinternship application?
Applicants must report their contact details, academic achievements, previous internships or work experience, personal statements, and references on the BearizonaEDU sites AB internship application.
Fill out your bearizonaedu sites abeinternship application online with pdfFiller!
pdfFiller is an end-to-end solution for managing, creating, and editing documents and forms in the cloud. Save time and hassle by preparing your tax forms online.
Bearizonaedu Sites Abeinternship Application is not the form you're looking for?Search for another form here.
Relevant keywords
Related Forms
If you believe that this page should be taken down, please follow our DMCA take down process
here
.
This form may include fields for payment information. Data entered in these fields is not covered by PCI DSS compliance.