Get the free Licenses - The Apache Software Foundation - svn apache
Show details
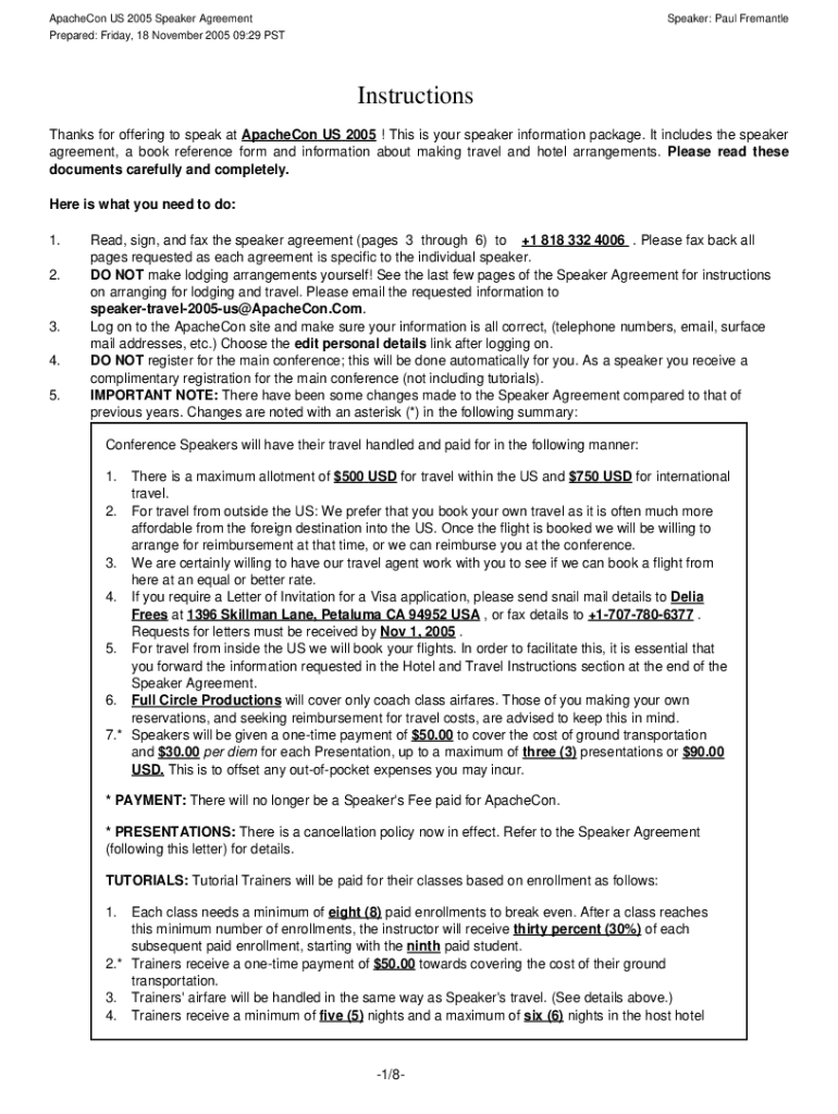
Pacheco US 2005 Speaker AgreementSpeaker: Paul FremantlePrepared: Friday, 18 November 2005 09:29 Instructions
Thanks for offering to speak at Pacheco US 2005 ! This is your speaker information package.
We are not affiliated with any brand or entity on this form
Get, Create, Make and Sign licenses - form apache
Edit your licenses - form apache form online
Type text, complete fillable fields, insert images, highlight or blackout data for discretion, add comments, and more.
Add your legally-binding signature
Draw or type your signature, upload a signature image, or capture it with your digital camera.
Share your form instantly
Email, fax, or share your licenses - form apache form via URL. You can also download, print, or export forms to your preferred cloud storage service.
How to edit licenses - form apache online
Follow the steps below to take advantage of the professional PDF editor:
1
Create an account. Begin by choosing Start Free Trial and, if you are a new user, establish a profile.
2
Simply add a document. Select Add New from your Dashboard and import a file into the system by uploading it from your device or importing it via the cloud, online, or internal mail. Then click Begin editing.
3
Edit licenses - form apache. Rearrange and rotate pages, add new and changed texts, add new objects, and use other useful tools. When you're done, click Done. You can use the Documents tab to merge, split, lock, or unlock your files.
4
Get your file. Select the name of your file in the docs list and choose your preferred exporting method. You can download it as a PDF, save it in another format, send it by email, or transfer it to the cloud.
pdfFiller makes working with documents easier than you could ever imagine. Register for an account and see for yourself!
Uncompromising security for your PDF editing and eSignature needs
Your private information is safe with pdfFiller. We employ end-to-end encryption, secure cloud storage, and advanced access control to protect your documents and maintain regulatory compliance.
How to fill out licenses - form apache
How to fill out licenses - form apache
01
To fill out licenses form apache, follow these steps:
02
Download the Apache License form from the official Apache website.
03
Open the downloaded form using a PDF reader or an editing software.
04
Read the instructions provided on the form carefully.
05
Fill in your personal or company details in the appropriate fields, such as name, address, and contact information.
06
Review the terms and conditions of the license thoroughly.
07
If applicable, provide information about any copyrighted material or software included in your project.
08
Make sure to follow all the guidelines provided by the Apache Software Foundation.
09
Double-check all the information you have entered to avoid any errors.
10
Save the filled-out form on your computer or print it if necessary.
11
Submit the completed form as per the instructions mentioned on the official Apache website or as instructed by relevant authorities.
Who needs licenses - form apache?
01
Anyone who wants to use, modify, or distribute software licensed under the Apache License will need to fill out the licenses form apache.
02
This includes individuals, organizations, or companies that wish to use or contribute to projects released under the Apache License.
Fill
form
: Try Risk Free
For pdfFiller’s FAQs
Below is a list of the most common customer questions. If you can’t find an answer to your question, please don’t hesitate to reach out to us.
Can I sign the licenses - form apache electronically in Chrome?
You certainly can. You get not just a feature-rich PDF editor and fillable form builder with pdfFiller, but also a robust e-signature solution that you can add right to your Chrome browser. You may use our addon to produce a legally enforceable eSignature by typing, sketching, or photographing your signature with your webcam. Choose your preferred method and eSign your licenses - form apache in minutes.
How can I edit licenses - form apache on a smartphone?
You may do so effortlessly with pdfFiller's iOS and Android apps, which are available in the Apple Store and Google Play Store, respectively. You may also obtain the program from our website: https://edit-pdf-ios-android.pdffiller.com/. Open the application, sign in, and begin editing licenses - form apache right away.
How do I edit licenses - form apache on an Android device?
You can edit, sign, and distribute licenses - form apache on your mobile device from anywhere using the pdfFiller mobile app for Android; all you need is an internet connection. Download the app and begin streamlining your document workflow from anywhere.
What is licenses - form apache?
Licenses - form apache is a licensing form issued by the Apache Software Foundation that allows individuals or organizations to use and distribute Apache-licensed software.
Who is required to file licenses - form apache?
Any individual or organization that uses or distributes Apache-licensed software is required to file licenses - form apache.
How to fill out licenses - form apache?
Licenses - form apache can be filled out online on the Apache Software Foundation website or downloaded and submitted manually.
What is the purpose of licenses - form apache?
The purpose of licenses - form apache is to ensure compliance with the Apache Software Foundation's licensing terms and conditions for the use and distribution of Apache-licensed software.
What information must be reported on licenses - form apache?
Licenses - form apache typically requires information such as the name and contact information of the individual or organization using the software, details of the software being used, and an agreement to comply with the licensing terms.
Fill out your licenses - form apache online with pdfFiller!
pdfFiller is an end-to-end solution for managing, creating, and editing documents and forms in the cloud. Save time and hassle by preparing your tax forms online.
Licenses - Form Apache is not the form you're looking for?Search for another form here.
Relevant keywords
Related Forms
If you believe that this page should be taken down, please follow our DMCA take down process
here
.
This form may include fields for payment information. Data entered in these fields is not covered by PCI DSS compliance.