
Get the free Hud hqs inspection guidebook - itl.theboysof64.de
Show details
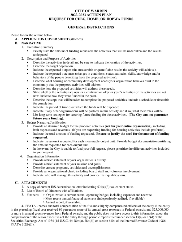
CITY OF WARREN 20222023 ACTION PLAN REQUEST FOR CBG, HOME, OR HOP WA FUNDS GENERAL INSTRUCTIONS Please follow the outline below. A. APPLICATION COVER SHEET (attached) B. NARRATIVE 1. Executive Summary
We are not affiliated with any brand or entity on this form
Get, Create, Make and Sign hud hqs inspection guidebook

Edit your hud hqs inspection guidebook form online
Type text, complete fillable fields, insert images, highlight or blackout data for discretion, add comments, and more.

Add your legally-binding signature
Draw or type your signature, upload a signature image, or capture it with your digital camera.

Share your form instantly
Email, fax, or share your hud hqs inspection guidebook form via URL. You can also download, print, or export forms to your preferred cloud storage service.
How to edit hud hqs inspection guidebook online
Here are the steps you need to follow to get started with our professional PDF editor:
1
Log in to your account. Start Free Trial and sign up a profile if you don't have one.
2
Simply add a document. Select Add New from your Dashboard and import a file into the system by uploading it from your device or importing it via the cloud, online, or internal mail. Then click Begin editing.
3
Edit hud hqs inspection guidebook. Rearrange and rotate pages, add and edit text, and use additional tools. To save changes and return to your Dashboard, click Done. The Documents tab allows you to merge, divide, lock, or unlock files.
4
Get your file. Select your file from the documents list and pick your export method. You may save it as a PDF, email it, or upload it to the cloud.
With pdfFiller, it's always easy to work with documents.
Uncompromising security for your PDF editing and eSignature needs
Your private information is safe with pdfFiller. We employ end-to-end encryption, secure cloud storage, and advanced access control to protect your documents and maintain regulatory compliance.
How to fill out hud hqs inspection guidebook

How to fill out hud hqs inspection guidebook
01
To fill out the HUD HQS inspection guidebook, follow these steps:
02
Start by gathering all the necessary documents and materials. This may include the guidebook itself, a pen or pencil, and any relevant inspection forms or checklists.
03
Begin the inspection process by thoroughly examining each area of the property, both inside and outside. This includes checking for any damages, unsanitary conditions, or safety hazards.
04
As you inspect each area, make detailed notes and observations in the guidebook. Use the provided sections and prompts to document any findings, such as the condition of walls, flooring, plumbing, electrical systems, and appliances.
05
Take photographs of any notable issues or concerns, and attach them to the corresponding sections in the guidebook. This will provide visual evidence and clarity for future reference.
06
Be thorough and methodical in your inspection, ensuring that all necessary information is accurately recorded. Pay special attention to items that may be specific to the HUD HQS guidelines, such as smoke detectors, carbon monoxide detectors, and accessibility features.
07
Once the inspection is complete, review and double-check all entries in the guidebook for completeness and accuracy. Make any necessary revisions or additions before finalizing the inspection report.
08
Finally, submit the completed HUD HQS inspection guidebook to the appropriate recipient, whether it be a designated HUD representative, a property management company, or any other party involved in the inspection process.
Who needs hud hqs inspection guidebook?
01
The HUD HQS inspection guidebook is typically needed by the following individuals or entities:
02
- Property owners or landlords who wish to ensure their properties meet the HUD's Housing Quality Standards (HQS) and pass the required inspections.
03
- Property managers or management companies responsible for overseeing and maintaining HUD-assisted properties.
04
- HUD representatives or inspectors who conduct the inspections and enforce compliance with the HQS guidelines.
05
- Tenants or prospective tenants of HUD-assisted housing who want to understand the inspection process and their rights.
Fill
form
: Try Risk Free
For pdfFiller’s FAQs
Below is a list of the most common customer questions. If you can’t find an answer to your question, please don’t hesitate to reach out to us.
How can I get hud hqs inspection guidebook?
It's simple with pdfFiller, a full online document management tool. Access our huge online form collection (over 25M fillable forms are accessible) and find the hud hqs inspection guidebook in seconds. Open it immediately and begin modifying it with powerful editing options.
How do I edit hud hqs inspection guidebook in Chrome?
Add pdfFiller Google Chrome Extension to your web browser to start editing hud hqs inspection guidebook and other documents directly from a Google search page. The service allows you to make changes in your documents when viewing them in Chrome. Create fillable documents and edit existing PDFs from any internet-connected device with pdfFiller.
How do I complete hud hqs inspection guidebook on an iOS device?
Install the pdfFiller iOS app. Log in or create an account to access the solution's editing features. Open your hud hqs inspection guidebook by uploading it from your device or online storage. After filling in all relevant fields and eSigning if required, you may save or distribute the document.
What is hud hqs inspection guidebook?
The HUD HQS Inspection Guidebook provides guidance on the Housing Quality Standards that properties must meet to receive HUD assistance.
Who is required to file hud hqs inspection guidebook?
Property owners or managers receiving HUD assistance are required to file the HUD HQS Inspection Guidebook.
How to fill out hud hqs inspection guidebook?
The HUD HQS Inspection Guidebook can be filled out by conducting a property inspection and documenting compliance with the Housing Quality Standards.
What is the purpose of hud hqs inspection guidebook?
The purpose of the HUD HQS Inspection Guidebook is to ensure that properties receiving HUD assistance meet the Housing Quality Standards.
What information must be reported on hud hqs inspection guidebook?
The HUD HQS Inspection Guidebook must report on the condition of the property and document compliance with the Housing Quality Standards.
Fill out your hud hqs inspection guidebook online with pdfFiller!
pdfFiller is an end-to-end solution for managing, creating, and editing documents and forms in the cloud. Save time and hassle by preparing your tax forms online.

Hud Hqs Inspection Guidebook is not the form you're looking for?Search for another form here.
Relevant keywords
Related Forms
If you believe that this page should be taken down, please follow our DMCA take down process
here
.
This form may include fields for payment information. Data entered in these fields is not covered by PCI DSS compliance.