Get the free www.uslegalforms.comform-library322090-indianaGet INDIANA SWIMMING DIVISIONAL - US L...
Show details
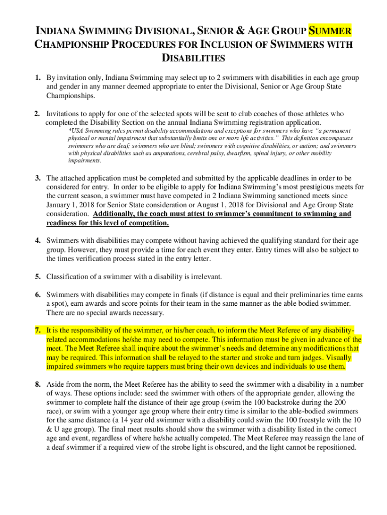
INDIANA SWIMMING DIVISIONAL, SENIOR & AGE GROUP SUMMER CHAMPIONSHIP PROCEDURES FOR INCLUSION OF SWIMMERS WITH DISABILITIES 1. By invitation only, Indiana Swimming may select up to 2 swimmers with
We are not affiliated with any brand or entity on this form
Get, Create, Make and Sign wwwuslegalformscomform-library322090-indianaget indiana swimming divisional
Edit your wwwuslegalformscomform-library322090-indianaget indiana swimming divisional form online
Type text, complete fillable fields, insert images, highlight or blackout data for discretion, add comments, and more.
Add your legally-binding signature
Draw or type your signature, upload a signature image, or capture it with your digital camera.
Share your form instantly
Email, fax, or share your wwwuslegalformscomform-library322090-indianaget indiana swimming divisional form via URL. You can also download, print, or export forms to your preferred cloud storage service.
How to edit wwwuslegalformscomform-library322090-indianaget indiana swimming divisional online
Use the instructions below to start using our professional PDF editor:
1
Create an account. Begin by choosing Start Free Trial and, if you are a new user, establish a profile.
2
Prepare a file. Use the Add New button. Then upload your file to the system from your device, importing it from internal mail, the cloud, or by adding its URL.
3
Edit wwwuslegalformscomform-library322090-indianaget indiana swimming divisional. Replace text, adding objects, rearranging pages, and more. Then select the Documents tab to combine, divide, lock or unlock the file.
4
Save your file. Select it from your list of records. Then, move your cursor to the right toolbar and choose one of the exporting options. You can save it in multiple formats, download it as a PDF, send it by email, or store it in the cloud, among other things.
It's easier to work with documents with pdfFiller than you could have ever thought. You may try it out for yourself by signing up for an account.
Uncompromising security for your PDF editing and eSignature needs
Your private information is safe with pdfFiller. We employ end-to-end encryption, secure cloud storage, and advanced access control to protect your documents and maintain regulatory compliance.
How to fill out wwwuslegalformscomform-library322090-indianaget indiana swimming divisional
How to fill out wwwuslegalformscomform-library322090-indianaget indiana swimming divisional
01
To fill out the form from www.uslegalforms.com/form-library/322090-indianaget indiana swimming divisional, follow these steps:
02
Visit the website www.uslegalforms.com/form-library/322090-indianaget indiana swimming divisional.
03
Locate the form titled 'Indiana Swimming Divisional' on the website.
04
Click on the form to open it.
05
Read the instructions and requirements listed on the form.
06
Fill in the required information in the provided fields.
07
Check for any additional documents or attachments that need to be included.
08
Review the filled form for any errors or missing information.
09
Save or print a copy of the completed form for your records.
Who needs wwwuslegalformscomform-library322090-indianaget indiana swimming divisional?
01
Anyone who is involved in swimming activities in Indiana and requires a divisional form may need to access www.uslegalforms.com/form-library/322090-indianaget indiana swimming divisional.
Fill
form
: Try Risk Free
For pdfFiller’s FAQs
Below is a list of the most common customer questions. If you can’t find an answer to your question, please don’t hesitate to reach out to us.
Can I create an eSignature for the wwwuslegalformscomform-library322090-indianaget indiana swimming divisional in Gmail?
Use pdfFiller's Gmail add-on to upload, type, or draw a signature. Your wwwuslegalformscomform-library322090-indianaget indiana swimming divisional and other papers may be signed using pdfFiller. Register for a free account to preserve signed papers and signatures.
How do I edit wwwuslegalformscomform-library322090-indianaget indiana swimming divisional straight from my smartphone?
You may do so effortlessly with pdfFiller's iOS and Android apps, which are available in the Apple Store and Google Play Store, respectively. You may also obtain the program from our website: https://edit-pdf-ios-android.pdffiller.com/. Open the application, sign in, and begin editing wwwuslegalformscomform-library322090-indianaget indiana swimming divisional right away.
How can I fill out wwwuslegalformscomform-library322090-indianaget indiana swimming divisional on an iOS device?
Install the pdfFiller app on your iOS device to fill out papers. If you have a subscription to the service, create an account or log in to an existing one. After completing the registration process, upload your wwwuslegalformscomform-library322090-indianaget indiana swimming divisional. You may now use pdfFiller's advanced features, such as adding fillable fields and eSigning documents, and accessing them from any device, wherever you are.
What is wwwuslegalformscomform-library322090-indianaget indiana swimming divisional?
wwwuslegalformscomform-library322090-indianaget indiana swimming divisional is a form used in Indiana for swimming divisional purposes.
Who is required to file wwwuslegalformscomform-library322090-indianaget indiana swimming divisional?
Participants in Indiana swimming events are required to file wwwuslegalformscomform-library322090-indianaget indiana swimming divisional.
How to fill out wwwuslegalformscomform-library322090-indianaget indiana swimming divisional?
To fill out wwwuslegalformscomform-library322090-indianaget indiana swimming divisional, you need to provide information about your swimming divisional activities in Indiana.
What is the purpose of wwwuslegalformscomform-library322090-indianaget indiana swimming divisional?
The purpose of wwwuslegalformscomform-library322090-indianaget indiana swimming divisional is to gather information about swimming divisional activities in Indiana.
What information must be reported on wwwuslegalformscomform-library322090-indianaget indiana swimming divisional?
Information about the swimming divisional events and participants must be reported on wwwuslegalformscomform-library322090-indianaget indiana swimming divisional.
Fill out your wwwuslegalformscomform-library322090-indianaget indiana swimming divisional online with pdfFiller!
pdfFiller is an end-to-end solution for managing, creating, and editing documents and forms in the cloud. Save time and hassle by preparing your tax forms online.
Wwwuslegalformscomform-library322090-Indianaget Indiana Swimming Divisional is not the form you're looking for?Search for another form here.
Relevant keywords
Related Forms
If you believe that this page should be taken down, please follow our DMCA take down process
here
.
This form may include fields for payment information. Data entered in these fields is not covered by PCI DSS compliance.