
Get the free Confidentiality Agreement - Autumn Ridge Plaza North - 725 SE Alice's Road (Waukee)
Show details
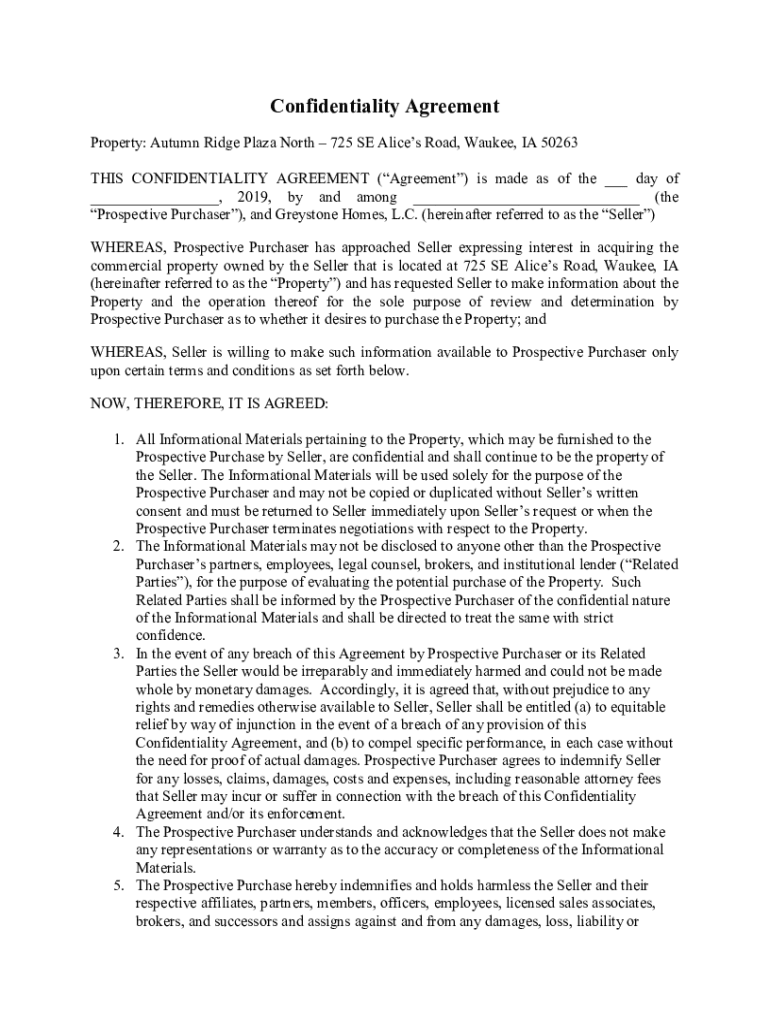
Confidentiality Agreement Property: Autumn Ridge Plaza North 725 SE Alice's Road, Walker, IA 50263 THIS CONFIDENTIALITY AGREEMENT (Agreement) is made as of the ___ day of ___, 2019, by and among ___
We are not affiliated with any brand or entity on this form
Get, Create, Make and Sign confidentiality agreement - autumn

Edit your confidentiality agreement - autumn form online
Type text, complete fillable fields, insert images, highlight or blackout data for discretion, add comments, and more.

Add your legally-binding signature
Draw or type your signature, upload a signature image, or capture it with your digital camera.

Share your form instantly
Email, fax, or share your confidentiality agreement - autumn form via URL. You can also download, print, or export forms to your preferred cloud storage service.
Editing confidentiality agreement - autumn online
Follow the steps below to benefit from the PDF editor's expertise:
1
Register the account. Begin by clicking Start Free Trial and create a profile if you are a new user.
2
Prepare a file. Use the Add New button. Then upload your file to the system from your device, importing it from internal mail, the cloud, or by adding its URL.
3
Edit confidentiality agreement - autumn. Add and replace text, insert new objects, rearrange pages, add watermarks and page numbers, and more. Click Done when you are finished editing and go to the Documents tab to merge, split, lock or unlock the file.
4
Get your file. Select your file from the documents list and pick your export method. You may save it as a PDF, email it, or upload it to the cloud.
pdfFiller makes working with documents easier than you could ever imagine. Try it for yourself by creating an account!
Uncompromising security for your PDF editing and eSignature needs
Your private information is safe with pdfFiller. We employ end-to-end encryption, secure cloud storage, and advanced access control to protect your documents and maintain regulatory compliance.
How to fill out confidentiality agreement - autumn

How to fill out confidentiality agreement - autumn
01
Obtain a template of a confidentiality agreement.
02
Fill in the names and contact information of the parties involved in the agreement.
03
Specify the purpose of the confidentiality agreement.
04
List the confidential information that will be protected.
05
Include the duration of the agreement and the circumstances under which it can be terminated.
06
Have both parties sign and date the agreement.
07
Keep a copy of the signed agreement for your records.
Who needs confidentiality agreement - autumn?
01
Anyone looking to protect sensitive information such as trade secrets, customer lists, or proprietary technology during the autumn season.
Fill
form
: Try Risk Free
For pdfFiller’s FAQs
Below is a list of the most common customer questions. If you can’t find an answer to your question, please don’t hesitate to reach out to us.
How can I manage my confidentiality agreement - autumn directly from Gmail?
In your inbox, you may use pdfFiller's add-on for Gmail to generate, modify, fill out, and eSign your confidentiality agreement - autumn and any other papers you receive, all without leaving the program. Install pdfFiller for Gmail from the Google Workspace Marketplace by visiting this link. Take away the need for time-consuming procedures and handle your papers and eSignatures with ease.
How do I edit confidentiality agreement - autumn in Chrome?
Install the pdfFiller Google Chrome Extension to edit confidentiality agreement - autumn and other documents straight from Google search results. When reading documents in Chrome, you may edit them. Create fillable PDFs and update existing PDFs using pdfFiller.
How do I edit confidentiality agreement - autumn straight from my smartphone?
The best way to make changes to documents on a mobile device is to use pdfFiller's apps for iOS and Android. You may get them from the Apple Store and Google Play. Learn more about the apps here. To start editing confidentiality agreement - autumn, you need to install and log in to the app.
What is confidentiality agreement - autumn?
A confidentiality agreement in the autumn refers to a legal contract that outlines terms and conditions for protecting sensitive information shared between parties during the autumn season.
Who is required to file confidentiality agreement - autumn?
Anyone who is entering into a business relationship or partnership during the autumn season may be required to file a confidentiality agreement to protect sensitive information.
How to fill out confidentiality agreement - autumn?
To fill out a confidentiality agreement in the autumn, parties must clearly define the sensitive information to be protected, outline the terms of confidentiality, and ensure all parties involved sign the agreement.
What is the purpose of confidentiality agreement - autumn?
The purpose of a confidentiality agreement in the autumn is to safeguard sensitive information, prevent its unauthorized disclosure, and establish legal recourse in case of breaches.
What information must be reported on confidentiality agreement - autumn?
Confidentiality agreements in the autumn typically include details of the parties involved, the specific information to be protected, the duration of confidentiality, and any exceptions or limitations.
Fill out your confidentiality agreement - autumn online with pdfFiller!
pdfFiller is an end-to-end solution for managing, creating, and editing documents and forms in the cloud. Save time and hassle by preparing your tax forms online.

Confidentiality Agreement - Autumn is not the form you're looking for?Search for another form here.
Relevant keywords
Related Forms
If you believe that this page should be taken down, please follow our DMCA take down process
here
.
This form may include fields for payment information. Data entered in these fields is not covered by PCI DSS compliance.