Get the free GRADUATE Federal Direct PLUS Loan Authorization
Show details
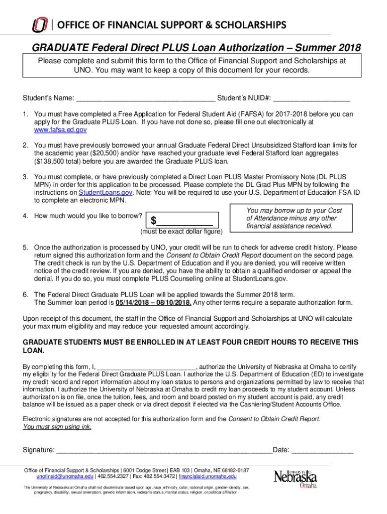
GRADUATE from Federal Direct PLUS Loan Authorization Summer 2018 Please complete and submit this form to the Office of Financial Support and Scholarships at UNO. You may want to keep a copy of this
We are not affiliated with any brand or entity on this form
Get, Create, Make and Sign graduate federal direct plus
Edit your graduate federal direct plus form online
Type text, complete fillable fields, insert images, highlight or blackout data for discretion, add comments, and more.
Add your legally-binding signature
Draw or type your signature, upload a signature image, or capture it with your digital camera.
Share your form instantly
Email, fax, or share your graduate federal direct plus form via URL. You can also download, print, or export forms to your preferred cloud storage service.
Editing graduate federal direct plus online
To use the services of a skilled PDF editor, follow these steps below:
1
Log in to your account. Click on Start Free Trial and sign up a profile if you don't have one.
2
Prepare a file. Use the Add New button to start a new project. Then, using your device, upload your file to the system by importing it from internal mail, the cloud, or adding its URL.
3
Edit graduate federal direct plus. Add and change text, add new objects, move pages, add watermarks and page numbers, and more. Then click Done when you're done editing and go to the Documents tab to merge or split the file. If you want to lock or unlock the file, click the lock or unlock button.
4
Get your file. Select the name of your file in the docs list and choose your preferred exporting method. You can download it as a PDF, save it in another format, send it by email, or transfer it to the cloud.
With pdfFiller, it's always easy to deal with documents.
Uncompromising security for your PDF editing and eSignature needs
Your private information is safe with pdfFiller. We employ end-to-end encryption, secure cloud storage, and advanced access control to protect your documents and maintain regulatory compliance.
How to fill out graduate federal direct plus
How to fill out graduate federal direct plus
01
Log in to the official FAFSA website or contact your university's financial aid office to request the Grad PLUS Loan application.
02
Provide your personal information, including your Social Security number and contact details.
03
Specify the loan period and the amount you wish to borrow.
04
Complete the Direct PLUS Loan Master Promissory Note (MPN) online.
05
Undergo a credit check to determine your eligibility.
06
Review the terms and conditions of the loan before accepting it.
Who needs graduate federal direct plus?
01
Graduate students who have exhausted their federal student loan options such as Direct Unsubsidized Loans may consider applying for the Graduate Federal Direct PLUS loan to cover any remaining educational expenses.
Fill
form
: Try Risk Free
For pdfFiller’s FAQs
Below is a list of the most common customer questions. If you can’t find an answer to your question, please don’t hesitate to reach out to us.
How do I edit graduate federal direct plus in Chrome?
Get and add pdfFiller Google Chrome Extension to your browser to edit, fill out and eSign your graduate federal direct plus, which you can open in the editor directly from a Google search page in just one click. Execute your fillable documents from any internet-connected device without leaving Chrome.
How do I edit graduate federal direct plus on an Android device?
With the pdfFiller mobile app for Android, you may make modifications to PDF files such as graduate federal direct plus. Documents may be edited, signed, and sent directly from your mobile device. Install the app and you'll be able to manage your documents from anywhere.
How do I fill out graduate federal direct plus on an Android device?
On Android, use the pdfFiller mobile app to finish your graduate federal direct plus. Adding, editing, deleting text, signing, annotating, and more are all available with the app. All you need is a smartphone and internet.
What is graduate federal direct plus?
Graduate Federal Direct PLUS is a loan program that graduate or professional students can use to help cover education expenses.
Who is required to file graduate federal direct plus?
Graduate or professional students who need additional financial assistance for their education expenses may be required to file a Graduate Federal Direct PLUS loan.
How to fill out graduate federal direct plus?
To fill out a Graduate Federal Direct PLUS loan, students can visit the official website of the U.S. Department of Education and complete the application online.
What is the purpose of graduate federal direct plus?
The purpose of the Graduate Federal Direct PLUS loan is to provide financial assistance to graduate or professional students to help cover education expenses that are not covered by other financial aid options.
What information must be reported on graduate federal direct plus?
Students must report their personal information, educational institution, loan amount requested, and other financial details required on the Graduate Federal Direct PLUS loan application.
Fill out your graduate federal direct plus online with pdfFiller!
pdfFiller is an end-to-end solution for managing, creating, and editing documents and forms in the cloud. Save time and hassle by preparing your tax forms online.
Graduate Federal Direct Plus is not the form you're looking for?Search for another form here.
Relevant keywords
Related Forms
If you believe that this page should be taken down, please follow our DMCA take down process
here
.
This form may include fields for payment information. Data entered in these fields is not covered by PCI DSS compliance.