Get the free NRC Form 664 "General Licensee Registration" - TemplateRoller
Show details
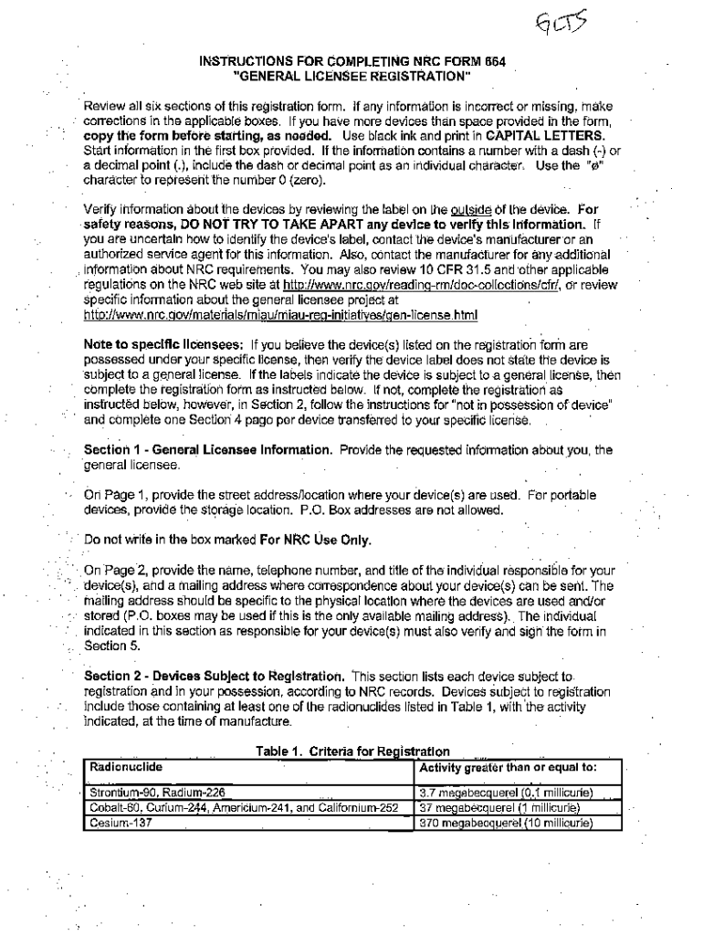
INSTRUCTIONS FOR COMPLETING NRC FORM 664 \” GENERAL LICENSEE REGISTRATION\” Review all Six sections of this registration form. If any information is incorrect or missing, make corrections in the
We are not affiliated with any brand or entity on this form
Get, Create, Make and Sign nrc form 664 ampquotgeneral
Edit your nrc form 664 ampquotgeneral form online
Type text, complete fillable fields, insert images, highlight or blackout data for discretion, add comments, and more.
Add your legally-binding signature
Draw or type your signature, upload a signature image, or capture it with your digital camera.
Share your form instantly
Email, fax, or share your nrc form 664 ampquotgeneral form via URL. You can also download, print, or export forms to your preferred cloud storage service.
How to edit nrc form 664 ampquotgeneral online
Use the instructions below to start using our professional PDF editor:
1
Register the account. Begin by clicking Start Free Trial and create a profile if you are a new user.
2
Prepare a file. Use the Add New button to start a new project. Then, using your device, upload your file to the system by importing it from internal mail, the cloud, or adding its URL.
3
Edit nrc form 664 ampquotgeneral. Add and replace text, insert new objects, rearrange pages, add watermarks and page numbers, and more. Click Done when you are finished editing and go to the Documents tab to merge, split, lock or unlock the file.
4
Get your file. Select your file from the documents list and pick your export method. You may save it as a PDF, email it, or upload it to the cloud.
With pdfFiller, dealing with documents is always straightforward.
Uncompromising security for your PDF editing and eSignature needs
Your private information is safe with pdfFiller. We employ end-to-end encryption, secure cloud storage, and advanced access control to protect your documents and maintain regulatory compliance.
How to fill out nrc form 664 ampquotgeneral
How to fill out nrc form 664 ampquotgeneral
01
Obtain NRC Form 664 ampquotgeneral from the designated authorities.
02
Fill out the form with accurate and up-to-date information.
03
Provide all required details such as personal information, contact details, and any other relevant information requested on the form.
04
Double-check the form for any errors or missing information before submitting it.
05
Submit the completed NRC Form 664 ampquotgeneral to the appropriate office or authority.
Who needs nrc form 664 ampquotgeneral?
01
Individuals who are required to provide specific information or fulfill certain criteria as requested by the authorities.
Fill
form
: Try Risk Free
For pdfFiller’s FAQs
Below is a list of the most common customer questions. If you can’t find an answer to your question, please don’t hesitate to reach out to us.
How can I send nrc form 664 ampquotgeneral to be eSigned by others?
Once your nrc form 664 ampquotgeneral is complete, you can securely share it with recipients and gather eSignatures with pdfFiller in just a few clicks. You may transmit a PDF by email, text message, fax, USPS mail, or online notarization directly from your account. Make an account right now and give it a go.
How do I edit nrc form 664 ampquotgeneral online?
pdfFiller not only lets you change the content of your files, but you can also change the number and order of pages. Upload your nrc form 664 ampquotgeneral to the editor and make any changes in a few clicks. The editor lets you black out, type, and erase text in PDFs. You can also add images, sticky notes, and text boxes, as well as many other things.
How do I fill out nrc form 664 ampquotgeneral on an Android device?
Complete nrc form 664 ampquotgeneral and other documents on your Android device with the pdfFiller app. The software allows you to modify information, eSign, annotate, and share files. You may view your papers from anywhere with an internet connection.
What is nrc form 664 ampquotgeneral?
NRC Form 664 ampquotgeneral is a form used to report specific information to the National Response Center in case of a hazardous chemical spill or release.
Who is required to file nrc form 664 ampquotgeneral?
Any individual or organization responsible for the release of hazardous chemicals is required to file NRC Form 664 ampquotgeneral.
How to fill out nrc form 664 ampquotgeneral?
To fill out NRC Form 664 ampquotgeneral, one must provide detailed information about the hazardous chemical release, including location, quantity, and any environmental impact.
What is the purpose of nrc form 664 ampquotgeneral?
The purpose of NRC Form 664 ampquotgeneral is to ensure timely reporting of hazardous chemical releases to the appropriate authorities for response and mitigation.
What information must be reported on nrc form 664 ampquotgeneral?
Information such as the type of chemical released, quantity, location of the release, and any potential environmental impact must be reported on NRC Form 664 ampquotgeneral.
Fill out your nrc form 664 ampquotgeneral online with pdfFiller!
pdfFiller is an end-to-end solution for managing, creating, and editing documents and forms in the cloud. Save time and hassle by preparing your tax forms online.
Nrc Form 664 Ampquotgeneral is not the form you're looking for?Search for another form here.
Relevant keywords
Related Forms
If you believe that this page should be taken down, please follow our DMCA take down process
here
.
This form may include fields for payment information. Data entered in these fields is not covered by PCI DSS compliance.