Get the free Minority Business CertificationMichigan Minority Supplier ...
Show details
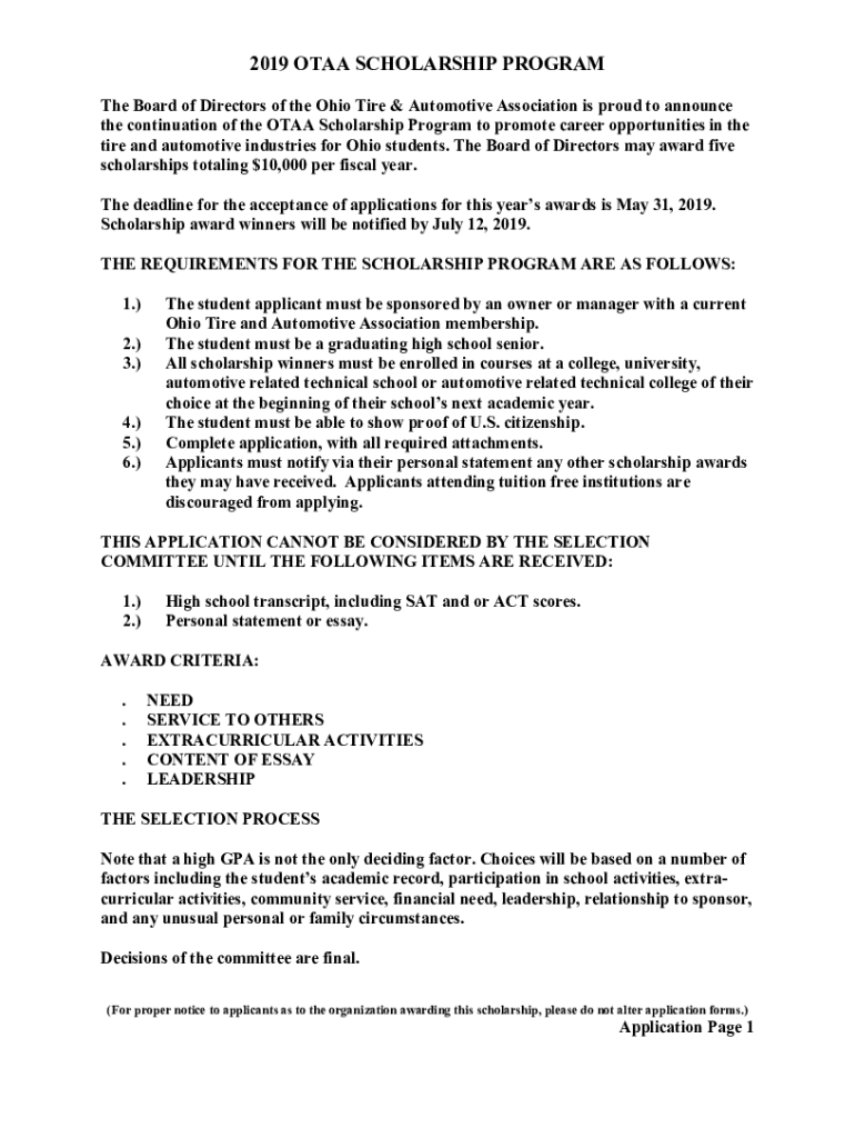
2019 OTAN SCHOLARSHIP PROGRAM The Board of Directors of the Ohio Tire & Automotive Association is proud to announce the continuation of the OTAN Scholarship Program to promote career opportunities
We are not affiliated with any brand or entity on this form
Get, Create, Make and Sign minority business certificationmichigan minority
Edit your minority business certificationmichigan minority form online
Type text, complete fillable fields, insert images, highlight or blackout data for discretion, add comments, and more.
Add your legally-binding signature
Draw or type your signature, upload a signature image, or capture it with your digital camera.
Share your form instantly
Email, fax, or share your minority business certificationmichigan minority form via URL. You can also download, print, or export forms to your preferred cloud storage service.
How to edit minority business certificationmichigan minority online
To use our professional PDF editor, follow these steps:
1
Register the account. Begin by clicking Start Free Trial and create a profile if you are a new user.
2
Upload a file. Select Add New on your Dashboard and upload a file from your device or import it from the cloud, online, or internal mail. Then click Edit.
3
Edit minority business certificationmichigan minority. Text may be added and replaced, new objects can be included, pages can be rearranged, watermarks and page numbers can be added, and so on. When you're done editing, click Done and then go to the Documents tab to combine, divide, lock, or unlock the file.
4
Get your file. When you find your file in the docs list, click on its name and choose how you want to save it. To get the PDF, you can save it, send an email with it, or move it to the cloud.
Uncompromising security for your PDF editing and eSignature needs
Your private information is safe with pdfFiller. We employ end-to-end encryption, secure cloud storage, and advanced access control to protect your documents and maintain regulatory compliance.
How to fill out minority business certificationmichigan minority
How to fill out minority business certificationmichigan minority
01
Research and understand the criteria for minority business certification in Michigan.
02
Compile all necessary documentation to prove eligibility as a minority-owned business.
03
Complete the application form provided by the Michigan Minority Business Development Council (MMBDC).
04
Submit the application along with all required documents and application fee.
05
Attend any required interviews or meetings with the certification board.
06
Await the decision on your minority business certification application.
Who needs minority business certificationmichigan minority?
01
Small business owners who are of a minority racial or ethnic background.
02
Businesses looking to take advantage of opportunities set aside for minority-owned enterprises.
03
Companies looking to enhance their diversity and inclusion initiatives.
Fill
form
: Try Risk Free
For pdfFiller’s FAQs
Below is a list of the most common customer questions. If you can’t find an answer to your question, please don’t hesitate to reach out to us.
How do I modify my minority business certificationmichigan minority in Gmail?
You can use pdfFiller’s add-on for Gmail in order to modify, fill out, and eSign your minority business certificationmichigan minority along with other documents right in your inbox. Find pdfFiller for Gmail in Google Workspace Marketplace. Use time you spend on handling your documents and eSignatures for more important things.
How do I edit minority business certificationmichigan minority online?
The editing procedure is simple with pdfFiller. Open your minority business certificationmichigan minority in the editor, which is quite user-friendly. You may use it to blackout, redact, write, and erase text, add photos, draw arrows and lines, set sticky notes and text boxes, and much more.
How do I fill out minority business certificationmichigan minority using my mobile device?
Use the pdfFiller mobile app to complete and sign minority business certificationmichigan minority on your mobile device. Visit our web page (https://edit-pdf-ios-android.pdffiller.com/) to learn more about our mobile applications, the capabilities you’ll have access to, and the steps to take to get up and running.
What is minority business certificationmichigan minority?
Minority business certification in Michigan is a program that certifies businesses owned and operated by minority individuals.
Who is required to file minority business certificationmichigan minority?
Minority-owned businesses in Michigan are required to file for minority business certification.
How to fill out minority business certificationmichigan minority?
To fill out minority business certification in Michigan, businesses must provide detailed information about the ownership and operation of the company.
What is the purpose of minority business certificationmichigan minority?
The purpose of minority business certification in Michigan is to support and promote minority-owned businesses in the state.
What information must be reported on minority business certificationmichigan minority?
Information required on minority business certification in Michigan includes details about the owner's minority status, the company's operations, and financial information.
Fill out your minority business certificationmichigan minority online with pdfFiller!
pdfFiller is an end-to-end solution for managing, creating, and editing documents and forms in the cloud. Save time and hassle by preparing your tax forms online.
Minority Business Certificationmichigan Minority is not the form you're looking for?Search for another form here.
Relevant keywords
Related Forms
If you believe that this page should be taken down, please follow our DMCA take down process
here
.
This form may include fields for payment information. Data entered in these fields is not covered by PCI DSS compliance.