
Get the free www.law.cornell.eduuscodetext21 U.S. Code880 - Administrative inspections and warrants
Show details
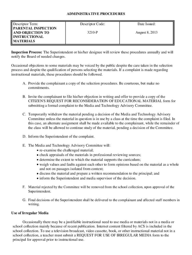
ADMINISTRATIVE PROCEDURES Descriptor Term: PARENTAL INSPECTION AND OBJECTION TO INSTRUCTIONAL MATERIALSDescriptor Code:Date Issued:3210PAugust 8, 2013Inspection Process: The Superintendent or his/her
We are not affiliated with any brand or entity on this form
Get, Create, Make and Sign wwwlawcornelleduuscodetext21 us code880

Edit your wwwlawcornelleduuscodetext21 us code880 form online
Type text, complete fillable fields, insert images, highlight or blackout data for discretion, add comments, and more.

Add your legally-binding signature
Draw or type your signature, upload a signature image, or capture it with your digital camera.

Share your form instantly
Email, fax, or share your wwwlawcornelleduuscodetext21 us code880 form via URL. You can also download, print, or export forms to your preferred cloud storage service.
Editing wwwlawcornelleduuscodetext21 us code880 online
Here are the steps you need to follow to get started with our professional PDF editor:
1
Log in. Click Start Free Trial and create a profile if necessary.
2
Upload a file. Select Add New on your Dashboard and upload a file from your device or import it from the cloud, online, or internal mail. Then click Edit.
3
Edit wwwlawcornelleduuscodetext21 us code880. Rearrange and rotate pages, insert new and alter existing texts, add new objects, and take advantage of other helpful tools. Click Done to apply changes and return to your Dashboard. Go to the Documents tab to access merging, splitting, locking, or unlocking functions.
4
Get your file. Select the name of your file in the docs list and choose your preferred exporting method. You can download it as a PDF, save it in another format, send it by email, or transfer it to the cloud.
pdfFiller makes working with documents easier than you could ever imagine. Register for an account and see for yourself!
Uncompromising security for your PDF editing and eSignature needs
Your private information is safe with pdfFiller. We employ end-to-end encryption, secure cloud storage, and advanced access control to protect your documents and maintain regulatory compliance.
How to fill out wwwlawcornelleduuscodetext21 us code880

How to fill out wwwlawcornelleduuscodetext21 us code880
01
Visit www.law.cornell.edu/uscode/text/21 and locate section 880
02
Read through the text of section 880 carefully
03
Identify key information and fill out any necessary forms or documents accordingly
Who needs wwwlawcornelleduuscodetext21 us code880?
01
Lawyers
02
Legal scholars
03
Individuals involved in the pharmaceutical or food industries
Fill
form
: Try Risk Free
For pdfFiller’s FAQs
Below is a list of the most common customer questions. If you can’t find an answer to your question, please don’t hesitate to reach out to us.
How do I make edits in wwwlawcornelleduuscodetext21 us code880 without leaving Chrome?
Get and add pdfFiller Google Chrome Extension to your browser to edit, fill out and eSign your wwwlawcornelleduuscodetext21 us code880, which you can open in the editor directly from a Google search page in just one click. Execute your fillable documents from any internet-connected device without leaving Chrome.
Can I sign the wwwlawcornelleduuscodetext21 us code880 electronically in Chrome?
You certainly can. You get not just a feature-rich PDF editor and fillable form builder with pdfFiller, but also a robust e-signature solution that you can add right to your Chrome browser. You may use our addon to produce a legally enforceable eSignature by typing, sketching, or photographing your signature with your webcam. Choose your preferred method and eSign your wwwlawcornelleduuscodetext21 us code880 in minutes.
How do I fill out wwwlawcornelleduuscodetext21 us code880 using my mobile device?
You can quickly make and fill out legal forms with the help of the pdfFiller app on your phone. Complete and sign wwwlawcornelleduuscodetext21 us code880 and other documents on your mobile device using the application. If you want to learn more about how the PDF editor works, go to pdfFiller.com.
What is www.law.cornell.edu/uscode/text/21_us_code/880?
The website www.law.cornell.edu/uscode/text/21_us_code/880 provides information on the regulations related to food and drugs.
Who is required to file www.law.cornell.edu/uscode/text/21_us_code/880?
Manufacturers, distributors, and packers of food and drugs are required to file www.law.cornell.edu/uscode/text/21_us_code/880.
How to fill out www.law.cornell.edu/uscode/text/21_us_code/880?
www.law.cornell.edu/uscode/text/21_us_code/880 can be filled out online or submitted through the appropriate regulatory agency.
What is the purpose of www.law.cornell.edu/uscode/text/21_us_code/880?
The purpose of www.law.cornell.edu/uscode/text/21_us_code/880 is to ensure the safety and proper labeling of food and drugs for public consumption.
What information must be reported on www.law.cornell.edu/uscode/text/21_us_code/880?
Information such as ingredients, manufacturing processes, and labeling must be reported on www.law.cornell.edu/uscode/text/21_us_code/880.
Fill out your wwwlawcornelleduuscodetext21 us code880 online with pdfFiller!
pdfFiller is an end-to-end solution for managing, creating, and editing documents and forms in the cloud. Save time and hassle by preparing your tax forms online.

wwwlawcornelleduuscodetext21 Us code880 is not the form you're looking for?Search for another form here.
Relevant keywords
Related Forms
If you believe that this page should be taken down, please follow our DMCA take down process
here
.
This form may include fields for payment information. Data entered in these fields is not covered by PCI DSS compliance.