Get the free Cartoon Rubric
Show details
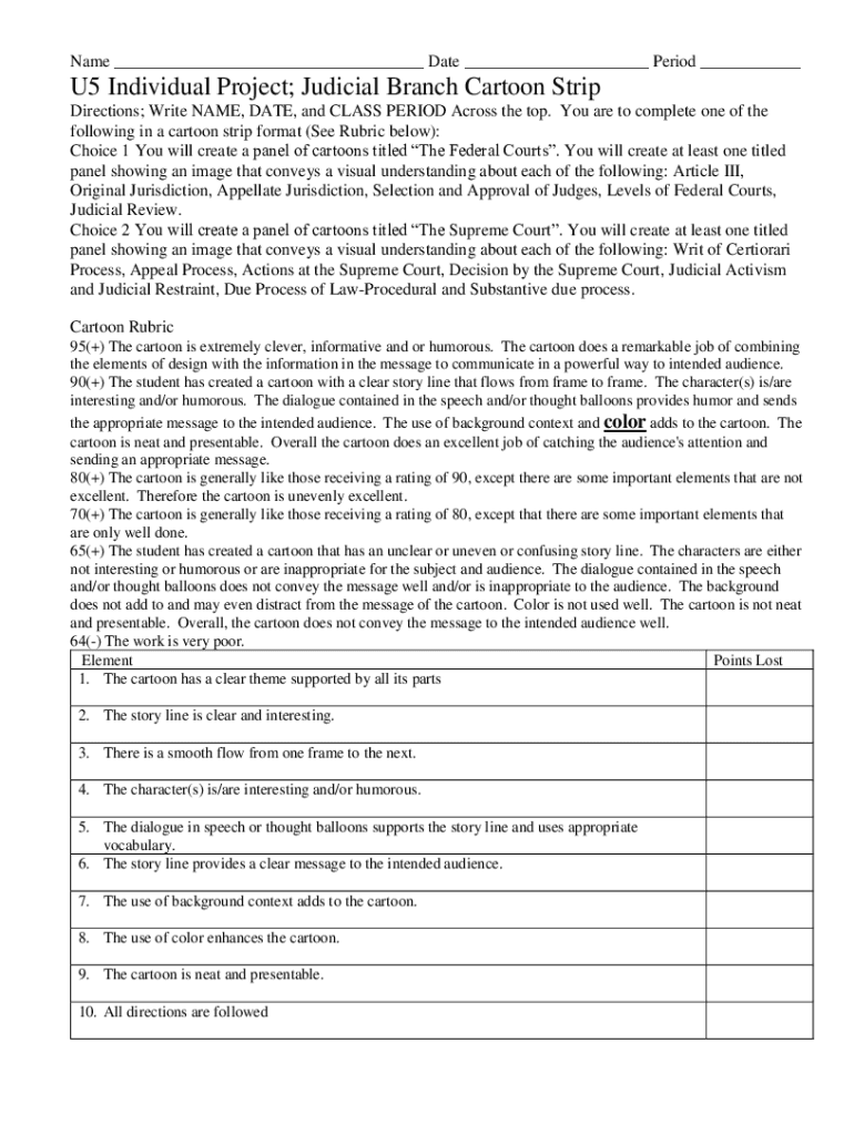
Name ___ Date ___ Period ___U5 Individual Project; Judicial Branch Cartoon Strip Directions; Write NAME, DATE, and CLASS PERIOD Across the top. You are to complete one of the following in a cartoon
We are not affiliated with any brand or entity on this form
Get, Create, Make and Sign cartoon rubric
Edit your cartoon rubric form online
Type text, complete fillable fields, insert images, highlight or blackout data for discretion, add comments, and more.
Add your legally-binding signature
Draw or type your signature, upload a signature image, or capture it with your digital camera.
Share your form instantly
Email, fax, or share your cartoon rubric form via URL. You can also download, print, or export forms to your preferred cloud storage service.
Editing cartoon rubric online
Follow the steps down below to use a professional PDF editor:
1
Check your account. If you don't have a profile yet, click Start Free Trial and sign up for one.
2
Prepare a file. Use the Add New button to start a new project. Then, using your device, upload your file to the system by importing it from internal mail, the cloud, or adding its URL.
3
Edit cartoon rubric. Text may be added and replaced, new objects can be included, pages can be rearranged, watermarks and page numbers can be added, and so on. When you're done editing, click Done and then go to the Documents tab to combine, divide, lock, or unlock the file.
4
Get your file. Select your file from the documents list and pick your export method. You may save it as a PDF, email it, or upload it to the cloud.
Dealing with documents is always simple with pdfFiller.
Uncompromising security for your PDF editing and eSignature needs
Your private information is safe with pdfFiller. We employ end-to-end encryption, secure cloud storage, and advanced access control to protect your documents and maintain regulatory compliance.
How to fill out cartoon rubric
How to fill out cartoon rubric
01
Read and understand the requirements of the cartoon rubric.
02
Gather all necessary materials such as pencil, eraser, colors, and paper.
03
Start by brainstorming ideas for your cartoon.
04
Sketch out your cartoon using the materials you gathered.
05
Add details and color to bring your cartoon to life.
06
Review the rubric to ensure all requirements have been met.
07
Make any necessary revisions before submitting your completed cartoon.
Who needs cartoon rubric?
01
Students who are tasked with creating a cartoon for a school project.
02
Artists who want to improve their cartooning skills through structured feedback and evaluation.
03
Teachers who want to assess students' understanding and creativity in a visual format.
Fill
form
: Try Risk Free
For pdfFiller’s FAQs
Below is a list of the most common customer questions. If you can’t find an answer to your question, please don’t hesitate to reach out to us.
How can I edit cartoon rubric from Google Drive?
Simplify your document workflows and create fillable forms right in Google Drive by integrating pdfFiller with Google Docs. The integration will allow you to create, modify, and eSign documents, including cartoon rubric, without leaving Google Drive. Add pdfFiller’s functionalities to Google Drive and manage your paperwork more efficiently on any internet-connected device.
Can I create an electronic signature for signing my cartoon rubric in Gmail?
You can easily create your eSignature with pdfFiller and then eSign your cartoon rubric directly from your inbox with the help of pdfFiller’s add-on for Gmail. Please note that you must register for an account in order to save your signatures and signed documents.
How do I complete cartoon rubric on an iOS device?
Download and install the pdfFiller iOS app. Then, launch the app and log in or create an account to have access to all of the editing tools of the solution. Upload your cartoon rubric from your device or cloud storage to open it, or input the document URL. After filling out all of the essential areas in the document and eSigning it (if necessary), you may save it or share it with others.
What is cartoon rubric?
Cartoon rubric is a form or set of guidelines used to assess and evaluate cartoons based on specific criteria.
Who is required to file cartoon rubric?
Cartoonists or artists who create cartoons are required to file cartoon rubric.
How to fill out cartoon rubric?
To fill out cartoon rubric, the artist must evaluate their own cartoons based on the established criteria and provide relevant information accordingly.
What is the purpose of cartoon rubric?
The purpose of cartoon rubric is to provide a standardized way to assess and evaluate cartoons, ensuring consistency and fairness in judging.
What information must be reported on cartoon rubric?
On cartoon rubric, information such as title of the cartoon, date of creation, theme, style, and any special techniques used must be reported.
Fill out your cartoon rubric online with pdfFiller!
pdfFiller is an end-to-end solution for managing, creating, and editing documents and forms in the cloud. Save time and hassle by preparing your tax forms online.
Cartoon Rubric is not the form you're looking for?Search for another form here.
Relevant keywords
Related Forms
If you believe that this page should be taken down, please follow our DMCA take down process
here
.
This form may include fields for payment information. Data entered in these fields is not covered by PCI DSS compliance.