
Get the free Unc dental school clinic prices - bonrn.parquesnaturales.de
Show details
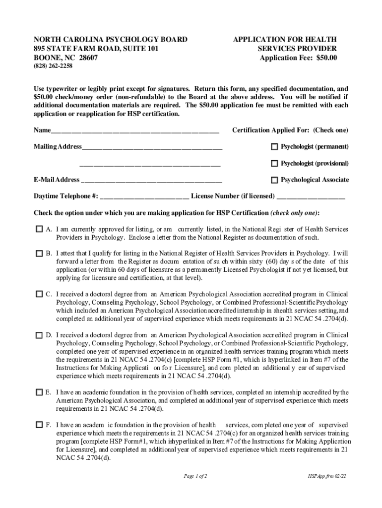
NORTH CAROLINA PSYCHOLOGY BOARD 895 STATE FARM ROAD, SUITE 101 BOONE, NC 28607APPLICATION FOR HEALTH SERVICES PROVIDER Application Fee: $50.00(828) 2622258Use typewriter or legibly print except for
We are not affiliated with any brand or entity on this form
Get, Create, Make and Sign unc dental school clinic

Edit your unc dental school clinic form online
Type text, complete fillable fields, insert images, highlight or blackout data for discretion, add comments, and more.

Add your legally-binding signature
Draw or type your signature, upload a signature image, or capture it with your digital camera.

Share your form instantly
Email, fax, or share your unc dental school clinic form via URL. You can also download, print, or export forms to your preferred cloud storage service.
How to edit unc dental school clinic online
To use the services of a skilled PDF editor, follow these steps below:
1
Register the account. Begin by clicking Start Free Trial and create a profile if you are a new user.
2
Prepare a file. Use the Add New button. Then upload your file to the system from your device, importing it from internal mail, the cloud, or by adding its URL.
3
Edit unc dental school clinic. Rearrange and rotate pages, insert new and alter existing texts, add new objects, and take advantage of other helpful tools. Click Done to apply changes and return to your Dashboard. Go to the Documents tab to access merging, splitting, locking, or unlocking functions.
4
Save your file. Select it from your records list. Then, click the right toolbar and select one of the various exporting options: save in numerous formats, download as PDF, email, or cloud.
pdfFiller makes dealing with documents a breeze. Create an account to find out!
Uncompromising security for your PDF editing and eSignature needs
Your private information is safe with pdfFiller. We employ end-to-end encryption, secure cloud storage, and advanced access control to protect your documents and maintain regulatory compliance.
How to fill out unc dental school clinic

How to fill out unc dental school clinic
01
Contact UNC Dental School Clinic to schedule an appointment.
02
Arrive early to complete any necessary paperwork.
03
Provide your dental history and any insurance information.
04
Follow the instructions of the dental staff during your appointment.
05
Pay any fees or copayments required for your visit.
Who needs unc dental school clinic?
01
Patients in need of affordable dental care.
02
Individuals looking for high-quality dental services from experienced students and skilled faculty.
03
Those interested in supporting the education and training of future dentists.
Fill
form
: Try Risk Free
For pdfFiller’s FAQs
Below is a list of the most common customer questions. If you can’t find an answer to your question, please don’t hesitate to reach out to us.
How do I execute unc dental school clinic online?
With pdfFiller, you may easily complete and sign unc dental school clinic online. It lets you modify original PDF material, highlight, blackout, erase, and write text anywhere on a page, legally eSign your document, and do a lot more. Create a free account to handle professional papers online.
How do I edit unc dental school clinic in Chrome?
Get and add pdfFiller Google Chrome Extension to your browser to edit, fill out and eSign your unc dental school clinic, which you can open in the editor directly from a Google search page in just one click. Execute your fillable documents from any internet-connected device without leaving Chrome.
Can I edit unc dental school clinic on an Android device?
With the pdfFiller Android app, you can edit, sign, and share unc dental school clinic on your mobile device from any place. All you need is an internet connection to do this. Keep your documents in order from anywhere with the help of the app!
What is unc dental school clinic?
The UNC Dental School Clinic is a facility where students from the University of North Carolina at Chapel Hill provide dental services to patients under the supervision of licensed dentists.
Who is required to file unc dental school clinic?
Students and faculty members who provide dental services at the UNC Dental School Clinic are required to file reports.
How to fill out unc dental school clinic?
To fill out the UNC Dental School Clinic report, students and faculty members must provide detailed information about the dental services provided and patient demographics.
What is the purpose of unc dental school clinic?
The purpose of the UNC Dental School Clinic is to provide hands-on training for dental students while also offering affordable dental services to the community.
What information must be reported on unc dental school clinic?
Information such as the types of dental procedures performed, number of patients seen, demographic information of patients, and any complications or incidents during treatment must be reported.
Fill out your unc dental school clinic online with pdfFiller!
pdfFiller is an end-to-end solution for managing, creating, and editing documents and forms in the cloud. Save time and hassle by preparing your tax forms online.

Unc Dental School Clinic is not the form you're looking for?Search for another form here.
Relevant keywords
Related Forms
If you believe that this page should be taken down, please follow our DMCA take down process
here
.
This form may include fields for payment information. Data entered in these fields is not covered by PCI DSS compliance.