Get the Get the free AN ALGORITHM FOR REDUCING A MATRIX TO ROW - pdfFiller
Show details
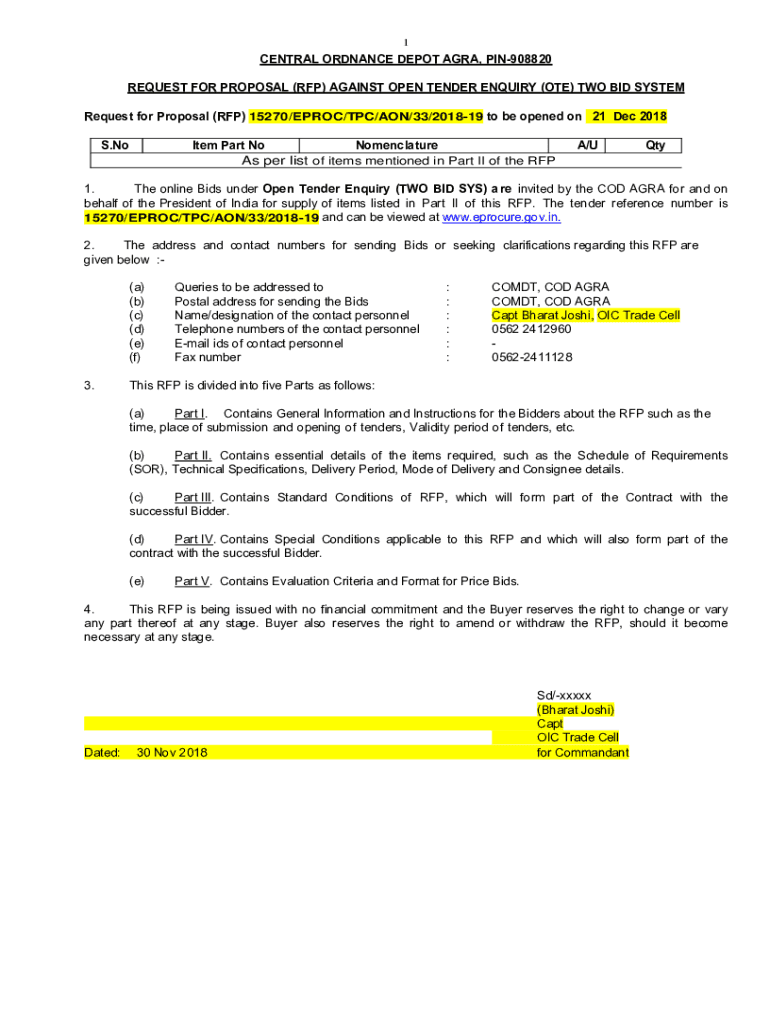
1CENTRAL ORDNANCE DEPOT AGRA, PIN908820 REQUEST FOR PROPOSAL (RFP) AGAINST OPEN TENDER Inquiry (ONE) TWO BID SYSTEM Request for Proposal (RFP) 15270/EPROM/TPC/AON/33/201819 to be opened on 21 Dec
We are not affiliated with any brand or entity on this form
Get, Create, Make and Sign an algorithm for reducing
Edit your an algorithm for reducing form online
Type text, complete fillable fields, insert images, highlight or blackout data for discretion, add comments, and more.
Add your legally-binding signature
Draw or type your signature, upload a signature image, or capture it with your digital camera.
Share your form instantly
Email, fax, or share your an algorithm for reducing form via URL. You can also download, print, or export forms to your preferred cloud storage service.
How to edit an algorithm for reducing online
Follow the guidelines below to use a professional PDF editor:
1
Check your account. If you don't have a profile yet, click Start Free Trial and sign up for one.
2
Simply add a document. Select Add New from your Dashboard and import a file into the system by uploading it from your device or importing it via the cloud, online, or internal mail. Then click Begin editing.
3
Edit an algorithm for reducing. Rearrange and rotate pages, add new and changed texts, add new objects, and use other useful tools. When you're done, click Done. You can use the Documents tab to merge, split, lock, or unlock your files.
4
Save your file. Select it in the list of your records. Then, move the cursor to the right toolbar and choose one of the available exporting methods: save it in multiple formats, download it as a PDF, send it by email, or store it in the cloud.
pdfFiller makes working with documents easier than you could ever imagine. Register for an account and see for yourself!
Uncompromising security for your PDF editing and eSignature needs
Your private information is safe with pdfFiller. We employ end-to-end encryption, secure cloud storage, and advanced access control to protect your documents and maintain regulatory compliance.
How to fill out an algorithm for reducing
How to fill out an algorithm for reducing
01
Define the problem that needs to be solved by the algorithm for reducing
02
Identify the key variables and parameters that will be used in the algorithm
03
Develop a step-by-step plan or process for how the reduction algorithm will work
04
Test the algorithm using sample data to ensure it is functioning correctly
05
Optimize the algorithm for efficiency and scalability
Who needs an algorithm for reducing?
01
Engineers
02
Data scientists
03
Researchers
04
Anyone looking to streamline a process or solve complex problems
Fill
form
: Try Risk Free
For pdfFiller’s FAQs
Below is a list of the most common customer questions. If you can’t find an answer to your question, please don’t hesitate to reach out to us.
How can I modify an algorithm for reducing without leaving Google Drive?
pdfFiller and Google Docs can be used together to make your documents easier to work with and to make fillable forms right in your Google Drive. The integration will let you make, change, and sign documents, like an algorithm for reducing, without leaving Google Drive. Add pdfFiller's features to Google Drive, and you'll be able to do more with your paperwork on any internet-connected device.
How can I send an algorithm for reducing to be eSigned by others?
Once your an algorithm for reducing is ready, you can securely share it with recipients and collect eSignatures in a few clicks with pdfFiller. You can send a PDF by email, text message, fax, USPS mail, or notarize it online - right from your account. Create an account now and try it yourself.
How do I edit an algorithm for reducing in Chrome?
an algorithm for reducing can be edited, filled out, and signed with the pdfFiller Google Chrome Extension. You can open the editor right from a Google search page with just one click. Fillable documents can be done on any web-connected device without leaving Chrome.
What is an algorithm for reducing?
An algorithm for reducing is a systematic set of instructions or rules used to simplify or streamline a process or problem-solving method.
Who is required to file an algorithm for reducing?
Any individual or organization that is looking to optimize a process or system may be required to file an algorithm for reducing.
How to fill out an algorithm for reducing?
To fill out an algorithm for reducing, one must outline the steps involved in reducing the complexity or improving the efficiency of a process, ensuring clarity and precision in the instructions provided.
What is the purpose of for an algorithm for reducing?
The purpose of an algorithm for reducing is to enhance productivity, efficiency, and effectiveness by simplifying complex tasks or processes.
What information must be reported on an algorithm for reducing?
An algorithm for reducing must include a clear description of the problem or process being optimized, the steps involved in the reduction process, any relevant data or calculations, and the expected outcomes.
Fill out your an algorithm for reducing online with pdfFiller!
pdfFiller is an end-to-end solution for managing, creating, and editing documents and forms in the cloud. Save time and hassle by preparing your tax forms online.
An Algorithm For Reducing is not the form you're looking for?Search for another form here.
Relevant keywords
Related Forms
If you believe that this page should be taken down, please follow our DMCA take down process
here
.
This form may include fields for payment information. Data entered in these fields is not covered by PCI DSS compliance.