
Get the free Form 14446 Virtual VITA/TCE Taxpayer Consent - Tax Season Resources
Show details
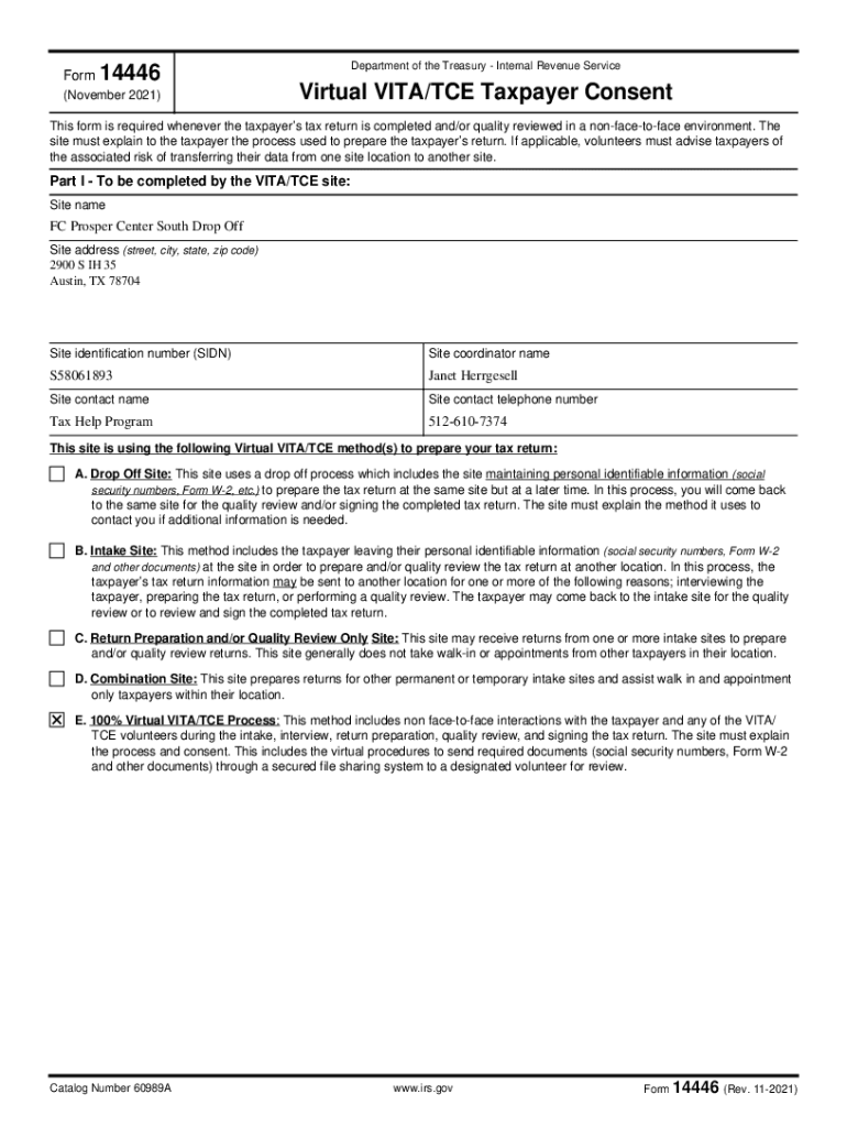
Form14446(November 2021)Department of the Treasury Internal Revenue ServiceVirtual VITA/THE Taxpayer Consents form is required whenever the taxpayers tax return is completed and/or quality reviewed
We are not affiliated with any brand or entity on this form
Get, Create, Make and Sign form 14446 virtual vitatce

Edit your form 14446 virtual vitatce form online
Type text, complete fillable fields, insert images, highlight or blackout data for discretion, add comments, and more.

Add your legally-binding signature
Draw or type your signature, upload a signature image, or capture it with your digital camera.

Share your form instantly
Email, fax, or share your form 14446 virtual vitatce form via URL. You can also download, print, or export forms to your preferred cloud storage service.
How to edit form 14446 virtual vitatce online
Follow the steps down below to use a professional PDF editor:
1
Create an account. Begin by choosing Start Free Trial and, if you are a new user, establish a profile.
2
Prepare a file. Use the Add New button to start a new project. Then, using your device, upload your file to the system by importing it from internal mail, the cloud, or adding its URL.
3
Edit form 14446 virtual vitatce. Rearrange and rotate pages, add and edit text, and use additional tools. To save changes and return to your Dashboard, click Done. The Documents tab allows you to merge, divide, lock, or unlock files.
4
Save your file. Select it in the list of your records. Then, move the cursor to the right toolbar and choose one of the available exporting methods: save it in multiple formats, download it as a PDF, send it by email, or store it in the cloud.
pdfFiller makes working with documents easier than you could ever imagine. Register for an account and see for yourself!
Uncompromising security for your PDF editing and eSignature needs
Your private information is safe with pdfFiller. We employ end-to-end encryption, secure cloud storage, and advanced access control to protect your documents and maintain regulatory compliance.
How to fill out form 14446 virtual vitatce

How to fill out form 14446 virtual vitatce
01
Access the Form 14446 Virtual VITA/TCE on the official IRS website.
02
Fill in your personal information such as name, address, and social security number.
03
Provide any income information required on the form.
04
Double-check all information for accuracy before submitting the form.
Who needs form 14446 virtual vitatce?
01
Individuals who are participating in the Volunteer Income Tax Assistance (VITA) or Tax Counseling for the Elderly (TCE) programs may need to fill out Form 14446 Virtual VITA/TCE.
Fill
form
: Try Risk Free
For pdfFiller’s FAQs
Below is a list of the most common customer questions. If you can’t find an answer to your question, please don’t hesitate to reach out to us.
How do I execute form 14446 virtual vitatce online?
With pdfFiller, you may easily complete and sign form 14446 virtual vitatce online. It lets you modify original PDF material, highlight, blackout, erase, and write text anywhere on a page, legally eSign your document, and do a lot more. Create a free account to handle professional papers online.
How do I fill out the form 14446 virtual vitatce form on my smartphone?
You can easily create and fill out legal forms with the help of the pdfFiller mobile app. Complete and sign form 14446 virtual vitatce and other documents on your mobile device using the application. Visit pdfFiller’s webpage to learn more about the functionalities of the PDF editor.
Can I edit form 14446 virtual vitatce on an iOS device?
Create, edit, and share form 14446 virtual vitatce from your iOS smartphone with the pdfFiller mobile app. Installing it from the Apple Store takes only a few seconds. You may take advantage of a free trial and select a subscription that meets your needs.
What is form 14446 virtual vitatce?
Form 14446 virtual vitatce is a specific form used for certain virtual Vitacce transactions.
Who is required to file form 14446 virtual vitatce?
Individuals and entities engaged in virtual Vitacce transactions are required to file form 14446 virtual vitatce.
How to fill out form 14446 virtual vitatce?
Form 14446 virtual vitatce can be filled out manually or electronically following the instructions provided by the IRS.
What is the purpose of form 14446 virtual vitatce?
The purpose of form 14446 virtual vitatce is to report certain virtual Vitacce transactions to the IRS.
What information must be reported on form 14446 virtual vitatce?
Form 14446 virtual vitatce requires reporting specific details of virtual Vitacce transactions, including amounts and dates.
Fill out your form 14446 virtual vitatce online with pdfFiller!
pdfFiller is an end-to-end solution for managing, creating, and editing documents and forms in the cloud. Save time and hassle by preparing your tax forms online.

Form 14446 Virtual Vitatce is not the form you're looking for?Search for another form here.
Relevant keywords
Related Forms
If you believe that this page should be taken down, please follow our DMCA take down process
here
.
This form may include fields for payment information. Data entered in these fields is not covered by PCI DSS compliance.