
Get the free www.csulb.educollege-of-health-human-servicesMaster of Social Work (MSW) AdmissionsC...
Show details
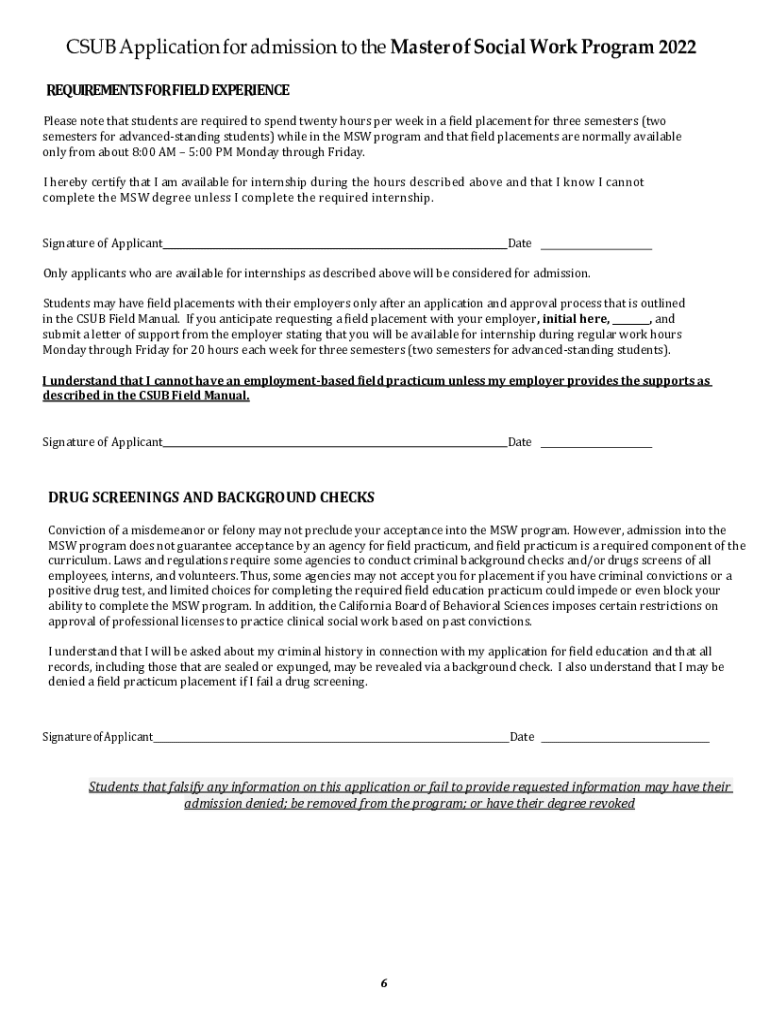
California State University, Bakersfield Department of Social Work Fall 2022Application for Admission Master of Social Work Programs Application for admission to the Master of Social Work Program
We are not affiliated with any brand or entity on this form
Get, Create, Make and Sign wwwcsulbeducollege-of-health-human-servicesmaster of social work

Edit your wwwcsulbeducollege-of-health-human-servicesmaster of social work form online
Type text, complete fillable fields, insert images, highlight or blackout data for discretion, add comments, and more.

Add your legally-binding signature
Draw or type your signature, upload a signature image, or capture it with your digital camera.

Share your form instantly
Email, fax, or share your wwwcsulbeducollege-of-health-human-servicesmaster of social work form via URL. You can also download, print, or export forms to your preferred cloud storage service.
Editing wwwcsulbeducollege-of-health-human-servicesmaster of social work online
Use the instructions below to start using our professional PDF editor:
1
Set up an account. If you are a new user, click Start Free Trial and establish a profile.
2
Upload a file. Select Add New on your Dashboard and upload a file from your device or import it from the cloud, online, or internal mail. Then click Edit.
3
Edit wwwcsulbeducollege-of-health-human-servicesmaster of social work. Text may be added and replaced, new objects can be included, pages can be rearranged, watermarks and page numbers can be added, and so on. When you're done editing, click Done and then go to the Documents tab to combine, divide, lock, or unlock the file.
4
Get your file. When you find your file in the docs list, click on its name and choose how you want to save it. To get the PDF, you can save it, send an email with it, or move it to the cloud.
With pdfFiller, it's always easy to deal with documents.
Uncompromising security for your PDF editing and eSignature needs
Your private information is safe with pdfFiller. We employ end-to-end encryption, secure cloud storage, and advanced access control to protect your documents and maintain regulatory compliance.
How to fill out wwwcsulbeducollege-of-health-human-servicesmaster of social work

How to fill out wwwcsulbeducollege-of-health-human-servicesmaster of social work
01
Visit the CSULB College of Health & Human Services website
02
Navigate to the Master of Social Work program page
03
Click on the application link
04
Complete the online application form with personal information, education background, and relevant experience
05
Submit required documents such as transcripts, letters of recommendation, and personal statement
06
Pay the application fee
07
Submit the completed application before the deadline
Who needs wwwcsulbeducollege-of-health-human-servicesmaster of social work?
01
Individuals who are interested in pursuing a career in social work and want to advance their education in this field
02
Those who are passionate about helping others and making a positive impact on society
03
People who want to become licensed clinical social workers or specialize in a specific area of social work
Fill
form
: Try Risk Free
For pdfFiller’s FAQs
Below is a list of the most common customer questions. If you can’t find an answer to your question, please don’t hesitate to reach out to us.
Where do I find wwwcsulbeducollege-of-health-human-servicesmaster of social work?
It’s easy with pdfFiller, a comprehensive online solution for professional document management. Access our extensive library of online forms (over 25M fillable forms are available) and locate the wwwcsulbeducollege-of-health-human-servicesmaster of social work in a matter of seconds. Open it right away and start customizing it using advanced editing features.
How do I complete wwwcsulbeducollege-of-health-human-servicesmaster of social work online?
pdfFiller makes it easy to finish and sign wwwcsulbeducollege-of-health-human-servicesmaster of social work online. It lets you make changes to original PDF content, highlight, black out, erase, and write text anywhere on a page, legally eSign your form, and more, all from one place. Create a free account and use the web to keep track of professional documents.
How do I make changes in wwwcsulbeducollege-of-health-human-servicesmaster of social work?
pdfFiller allows you to edit not only the content of your files, but also the quantity and sequence of the pages. Upload your wwwcsulbeducollege-of-health-human-servicesmaster of social work to the editor and make adjustments in a matter of seconds. Text in PDFs may be blacked out, typed in, and erased using the editor. You may also include photos, sticky notes, and text boxes, among other things.
What is www.csulb.edu/college-of-health-human-services/master of social work?
The Master of Social Work program at CSULB prepares students for advanced social work practice in a variety of settings.
Who is required to file www.csulb.edu/college-of-health-human-services/master of social work?
All students enrolled in the Master of Social Work program at CSULB are required to complete the program.
How to fill out www.csulb.edu/college-of-health-human-services/master of social work?
Students must complete the required coursework, field placements, and exams in order to successfully graduate from the program.
What is the purpose of www.csulb.edu/college-of-health-human-services/master of social work?
The purpose of the Master of Social Work program is to train students to become competent and ethical social work professionals.
What information must be reported on www.csulb.edu/college-of-health-human-services/master of social work?
Students must report their progress in completing coursework, field placements, and exams.
Fill out your wwwcsulbeducollege-of-health-human-servicesmaster of social work online with pdfFiller!
pdfFiller is an end-to-end solution for managing, creating, and editing documents and forms in the cloud. Save time and hassle by preparing your tax forms online.

Wwwcsulbeducollege-Of-Health-Human-Servicesmaster Of Social Work is not the form you're looking for?Search for another form here.
Relevant keywords
Related Forms
If you believe that this page should be taken down, please follow our DMCA take down process
here
.
This form may include fields for payment information. Data entered in these fields is not covered by PCI DSS compliance.