
Get the free Retainer Agreement: Title Relief Services - mada.org
Show details
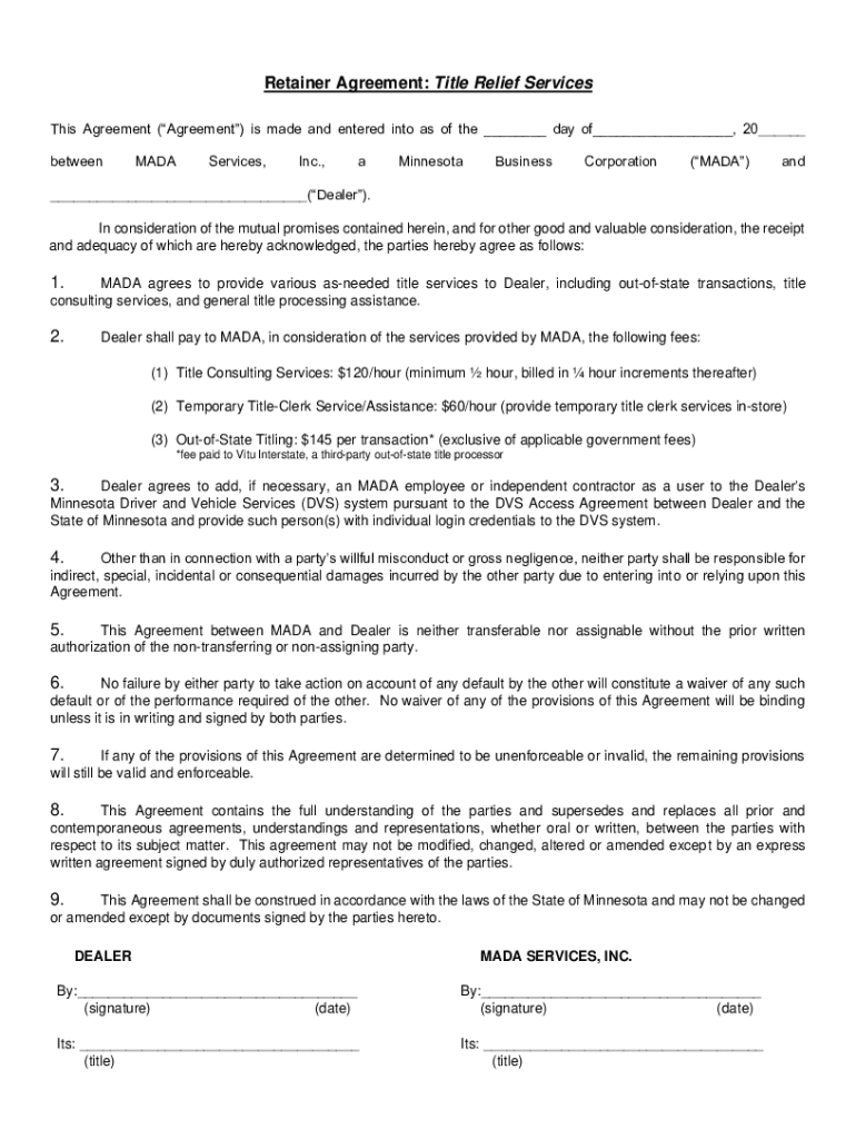
Retainer Agreement: Title Relief Services This Agreement (Agreement) is made and entered into as of the ___ day of___, 20___ betweenMADAServices, Inc., aMinnesotaBusinessCorporation(MADE)and___(Dealer).
We are not affiliated with any brand or entity on this form
Get, Create, Make and Sign retainer agreement title relief

Edit your retainer agreement title relief form online
Type text, complete fillable fields, insert images, highlight or blackout data for discretion, add comments, and more.

Add your legally-binding signature
Draw or type your signature, upload a signature image, or capture it with your digital camera.

Share your form instantly
Email, fax, or share your retainer agreement title relief form via URL. You can also download, print, or export forms to your preferred cloud storage service.
How to edit retainer agreement title relief online
Follow the guidelines below to use a professional PDF editor:
1
Check your account. It's time to start your free trial.
2
Simply add a document. Select Add New from your Dashboard and import a file into the system by uploading it from your device or importing it via the cloud, online, or internal mail. Then click Begin editing.
3
Edit retainer agreement title relief. Add and replace text, insert new objects, rearrange pages, add watermarks and page numbers, and more. Click Done when you are finished editing and go to the Documents tab to merge, split, lock or unlock the file.
4
Get your file. Select the name of your file in the docs list and choose your preferred exporting method. You can download it as a PDF, save it in another format, send it by email, or transfer it to the cloud.
It's easier to work with documents with pdfFiller than you can have ever thought. Sign up for a free account to view.
Uncompromising security for your PDF editing and eSignature needs
Your private information is safe with pdfFiller. We employ end-to-end encryption, secure cloud storage, and advanced access control to protect your documents and maintain regulatory compliance.
How to fill out retainer agreement title relief

How to fill out retainer agreement title relief
01
Review the retainer agreement title relief section carefully to understand the requirements.
02
Fill in the necessary information such as names of the parties involved, date of agreement, and specific details on the title relief status.
03
Include any relevant legal terms or conditions related to the title relief in the agreement.
04
Ensure all parties involved sign the retainer agreement title relief section to acknowledge their understanding and agreement.
05
Keep a copy of the completed agreement for your records.
Who needs retainer agreement title relief?
01
Individuals or businesses involved in legal transactions where ownership or title transfer is a key factor.
02
Real estate agents, attorneys, and property owners dealing with title disputes or transfers.
Fill
form
: Try Risk Free
For pdfFiller’s FAQs
Below is a list of the most common customer questions. If you can’t find an answer to your question, please don’t hesitate to reach out to us.
How can I manage my retainer agreement title relief directly from Gmail?
The pdfFiller Gmail add-on lets you create, modify, fill out, and sign retainer agreement title relief and other documents directly in your email. Click here to get pdfFiller for Gmail. Eliminate tedious procedures and handle papers and eSignatures easily.
How do I fill out retainer agreement title relief using my mobile device?
The pdfFiller mobile app makes it simple to design and fill out legal paperwork. Complete and sign retainer agreement title relief and other papers using the app. Visit pdfFiller's website to learn more about the PDF editor's features.
How can I fill out retainer agreement title relief on an iOS device?
Install the pdfFiller app on your iOS device to fill out papers. Create an account or log in if you already have one. After registering, upload your retainer agreement title relief. You may now use pdfFiller's advanced features like adding fillable fields and eSigning documents from any device, anywhere.
What is retainer agreement title relief?
Retainer agreement title relief is a legal document that allows an attorney or law firm to claim a lien on a client's legal settlement to ensure payment for services rendered.
Who is required to file retainer agreement title relief?
Attorneys or law firms who have provided legal services to a client and wish to secure payment by placing a lien on the client's settlement.
How to fill out retainer agreement title relief?
To fill out a retainer agreement title relief, the attorney or law firm must include details of the legal services provided, the amount owed for the services, and information about the client's settlement.
What is the purpose of retainer agreement title relief?
The purpose of retainer agreement title relief is to ensure that attorneys or law firms are compensated for the legal services they provide by securing a lien on the client's settlement.
What information must be reported on retainer agreement title relief?
The retainer agreement title relief must include details of the legal services provided, the amount owed, and information about the client's settlement.
Fill out your retainer agreement title relief online with pdfFiller!
pdfFiller is an end-to-end solution for managing, creating, and editing documents and forms in the cloud. Save time and hassle by preparing your tax forms online.

Retainer Agreement Title Relief is not the form you're looking for?Search for another form here.
Relevant keywords
Related Forms
If you believe that this page should be taken down, please follow our DMCA take down process
here
.
This form may include fields for payment information. Data entered in these fields is not covered by PCI DSS compliance.