Get the free 2023 Application Medical Sonography (A45440)/Cardiac ...
Show details
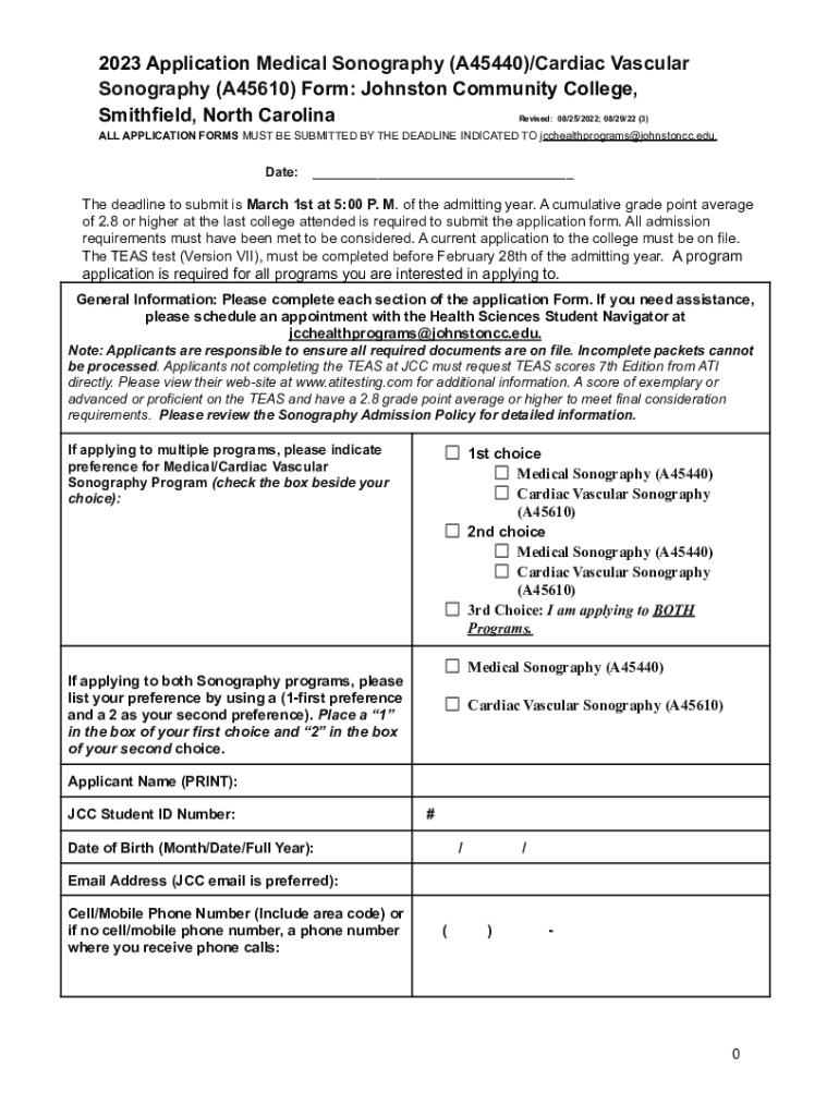
2023 Application Medical Sonography (A45440)/Cardiac Vascular Sonography (A45610) Form: Johnston Community College, Revised: 08/25/2022; 08/29/22 (3) Smithfield, North Carolina ALL APPLICATION FORMS
We are not affiliated with any brand or entity on this form
Get, Create, Make and Sign 2023 application medical sonography
Edit your 2023 application medical sonography form online
Type text, complete fillable fields, insert images, highlight or blackout data for discretion, add comments, and more.
Add your legally-binding signature
Draw or type your signature, upload a signature image, or capture it with your digital camera.
Share your form instantly
Email, fax, or share your 2023 application medical sonography form via URL. You can also download, print, or export forms to your preferred cloud storage service.
How to edit 2023 application medical sonography online
To use our professional PDF editor, follow these steps:
1
Log in. Click Start Free Trial and create a profile if necessary.
2
Prepare a file. Use the Add New button to start a new project. Then, using your device, upload your file to the system by importing it from internal mail, the cloud, or adding its URL.
3
Edit 2023 application medical sonography. Rearrange and rotate pages, add new and changed texts, add new objects, and use other useful tools. When you're done, click Done. You can use the Documents tab to merge, split, lock, or unlock your files.
4
Save your file. Choose it from the list of records. Then, shift the pointer to the right toolbar and select one of the several exporting methods: save it in multiple formats, download it as a PDF, email it, or save it to the cloud.
With pdfFiller, it's always easy to work with documents.
Uncompromising security for your PDF editing and eSignature needs
Your private information is safe with pdfFiller. We employ end-to-end encryption, secure cloud storage, and advanced access control to protect your documents and maintain regulatory compliance.
How to fill out 2023 application medical sonography
How to fill out 2023 application medical sonography
01
Gather all necessary documents such as transcripts, letters of recommendation, and personal statement.
02
Complete the online application form by providing accurate and up-to-date information.
03
Pay the application fee and submit the required documents.
04
Attend any interviews or additional screenings required by the program.
05
Wait for notification of acceptance or denial.
Who needs 2023 application medical sonography?
01
Individuals who are interested in pursuing a career in medical sonography.
02
Students who have completed the necessary prerequisites and requirements for the program.
Fill
form
: Try Risk Free
For pdfFiller’s FAQs
Below is a list of the most common customer questions. If you can’t find an answer to your question, please don’t hesitate to reach out to us.
How do I edit 2023 application medical sonography in Chrome?
Get and add pdfFiller Google Chrome Extension to your browser to edit, fill out and eSign your 2023 application medical sonography, which you can open in the editor directly from a Google search page in just one click. Execute your fillable documents from any internet-connected device without leaving Chrome.
Can I create an electronic signature for signing my 2023 application medical sonography in Gmail?
Create your eSignature using pdfFiller and then eSign your 2023 application medical sonography immediately from your email with pdfFiller's Gmail add-on. To keep your signatures and signed papers, you must create an account.
How do I edit 2023 application medical sonography straight from my smartphone?
You can do so easily with pdfFiller’s applications for iOS and Android devices, which can be found at the Apple Store and Google Play Store, respectively. Alternatively, you can get the app on our web page: https://edit-pdf-ios-android.pdffiller.com/. Install the application, log in, and start editing 2023 application medical sonography right away.
What is application medical sonography a45440cardiac?
Application medical sonography a45440cardiac is a form that individuals in the medical field use to apply for certification in cardiac sonography.
Who is required to file application medical sonography a45440cardiac?
Medical professionals who specialize in cardiac sonography and wish to obtain certification.
How to fill out application medical sonography a45440cardiac?
To fill out the application, individuals need to provide their personal information, educational background, and work experience in cardiac sonography.
What is the purpose of application medical sonography a45440cardiac?
The purpose of the application is to evaluate the qualifications and experience of individuals seeking certification in cardiac sonography.
What information must be reported on application medical sonography a45440cardiac?
The application requires details about the applicant's education, training, work experience, and any relevant certifications or licenses.
Fill out your 2023 application medical sonography online with pdfFiller!
pdfFiller is an end-to-end solution for managing, creating, and editing documents and forms in the cloud. Save time and hassle by preparing your tax forms online.
2023 Application Medical Sonography is not the form you're looking for?Search for another form here.
Relevant keywords
Related Forms
If you believe that this page should be taken down, please follow our DMCA take down process
here
.
This form may include fields for payment information. Data entered in these fields is not covered by PCI DSS compliance.