Get the free Non-NSPS Emergency Generator Permit - DOEE.DC.Gov.
Show details
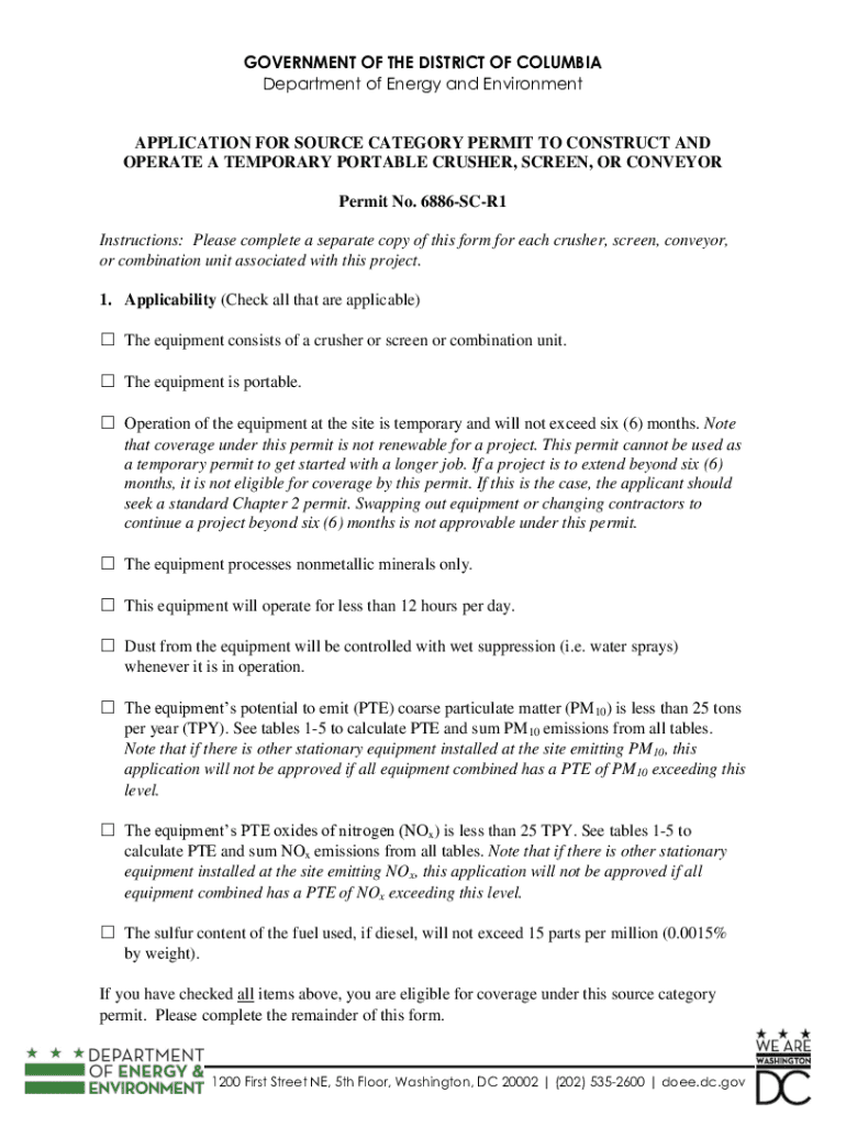
GOVERNMENT OF THE DISTRICT OF COLUMBIA Department of Energy and EnvironmentAPPLICATION FOR SOURCE CATEGORY PERMIT Constructing AND OPERATE A TEMPORARY PORTABLE CRUSHER, SCREEN, OR CONVEYOR Permit
We are not affiliated with any brand or entity on this form
Get, Create, Make and Sign non-nsps emergency generator permit
Edit your non-nsps emergency generator permit form online
Type text, complete fillable fields, insert images, highlight or blackout data for discretion, add comments, and more.
Add your legally-binding signature
Draw or type your signature, upload a signature image, or capture it with your digital camera.
Share your form instantly
Email, fax, or share your non-nsps emergency generator permit form via URL. You can also download, print, or export forms to your preferred cloud storage service.
Editing non-nsps emergency generator permit online
Use the instructions below to start using our professional PDF editor:
1
Set up an account. If you are a new user, click Start Free Trial and establish a profile.
2
Upload a file. Select Add New on your Dashboard and upload a file from your device or import it from the cloud, online, or internal mail. Then click Edit.
3
Edit non-nsps emergency generator permit. Rearrange and rotate pages, add and edit text, and use additional tools. To save changes and return to your Dashboard, click Done. The Documents tab allows you to merge, divide, lock, or unlock files.
4
Get your file. When you find your file in the docs list, click on its name and choose how you want to save it. To get the PDF, you can save it, send an email with it, or move it to the cloud.
pdfFiller makes dealing with documents a breeze. Create an account to find out!
Uncompromising security for your PDF editing and eSignature needs
Your private information is safe with pdfFiller. We employ end-to-end encryption, secure cloud storage, and advanced access control to protect your documents and maintain regulatory compliance.
How to fill out non-nsps emergency generator permit
How to fill out non-nsps emergency generator permit
01
Obtain the application form for the non-nsps emergency generator permit.
02
Fill out the application form with accurate and detailed information about the generator and its use.
03
Submit the completed application form to the relevant regulatory authority.
04
Pay any required fees for the permit.
05
Await approval from the regulatory authority before using the emergency generator.
Who needs non-nsps emergency generator permit?
01
Anyone who plans to install and operate a non-nsps emergency generator needs to obtain a permit for compliance with regulations.
Fill
form
: Try Risk Free
For pdfFiller’s FAQs
Below is a list of the most common customer questions. If you can’t find an answer to your question, please don’t hesitate to reach out to us.
How do I edit non-nsps emergency generator permit online?
pdfFiller not only allows you to edit the content of your files but fully rearrange them by changing the number and sequence of pages. Upload your non-nsps emergency generator permit to the editor and make any required adjustments in a couple of clicks. The editor enables you to blackout, type, and erase text in PDFs, add images, sticky notes and text boxes, and much more.
Can I create an electronic signature for the non-nsps emergency generator permit in Chrome?
Yes. You can use pdfFiller to sign documents and use all of the features of the PDF editor in one place if you add this solution to Chrome. In order to use the extension, you can draw or write an electronic signature. You can also upload a picture of your handwritten signature. There is no need to worry about how long it takes to sign your non-nsps emergency generator permit.
How do I fill out the non-nsps emergency generator permit form on my smartphone?
Use the pdfFiller mobile app to complete and sign non-nsps emergency generator permit on your mobile device. Visit our web page (https://edit-pdf-ios-android.pdffiller.com/) to learn more about our mobile applications, the capabilities you’ll have access to, and the steps to take to get up and running.
What is non-nsps emergency generator permit?
Non-NSPS emergency generator permit is a permit required for emergency generators that are not subject to New Source Performance Standards (NSPS).
Who is required to file non-nsps emergency generator permit?
Facilities with emergency generators that are not subject to NSPS regulations are required to file for a non-NSPS emergency generator permit.
How to fill out non-nsps emergency generator permit?
To fill out a non-NSPS emergency generator permit, facilities must provide information about the emergency generator, its usage, and compliance measures in place.
What is the purpose of non-nsps emergency generator permit?
The purpose of a non-NSPS emergency generator permit is to ensure that emergency generators are operated in compliance with air quality regulations and do not pose a threat to public health.
What information must be reported on non-nsps emergency generator permit?
Information such as the type of emergency generator, fuel type, usage hours, and emission control measures must be reported on a non-NSPS emergency generator permit.
Fill out your non-nsps emergency generator permit online with pdfFiller!
pdfFiller is an end-to-end solution for managing, creating, and editing documents and forms in the cloud. Save time and hassle by preparing your tax forms online.
Non-Nsps Emergency Generator Permit is not the form you're looking for?Search for another form here.
Relevant keywords
Related Forms
If you believe that this page should be taken down, please follow our DMCA take down process
here
.
This form may include fields for payment information. Data entered in these fields is not covered by PCI DSS compliance.