
Get the free MUTUAL CONFIDENTIAL DISCLOSURE AGREEMENT - University of South Florida
Show details
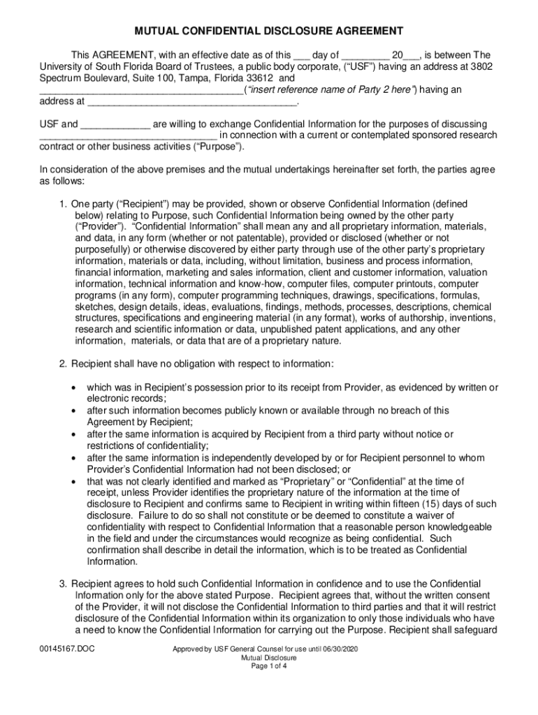
MUTUAL CONFIDENTIAL DISCLOSURE AGREEMENT This AGREEMENT, with an effective date as of this ___ day of ___ 20___, is between The University of South Florida Board of Trustees, a public body corporate,
We are not affiliated with any brand or entity on this form
Get, Create, Make and Sign mutual confidential disclosure agreement

Edit your mutual confidential disclosure agreement form online
Type text, complete fillable fields, insert images, highlight or blackout data for discretion, add comments, and more.

Add your legally-binding signature
Draw or type your signature, upload a signature image, or capture it with your digital camera.

Share your form instantly
Email, fax, or share your mutual confidential disclosure agreement form via URL. You can also download, print, or export forms to your preferred cloud storage service.
How to edit mutual confidential disclosure agreement online
Follow the steps down below to take advantage of the professional PDF editor:
1
Log into your account. If you don't have a profile yet, click Start Free Trial and sign up for one.
2
Prepare a file. Use the Add New button to start a new project. Then, using your device, upload your file to the system by importing it from internal mail, the cloud, or adding its URL.
3
Edit mutual confidential disclosure agreement. Rearrange and rotate pages, add and edit text, and use additional tools. To save changes and return to your Dashboard, click Done. The Documents tab allows you to merge, divide, lock, or unlock files.
4
Get your file. When you find your file in the docs list, click on its name and choose how you want to save it. To get the PDF, you can save it, send an email with it, or move it to the cloud.
pdfFiller makes working with documents easier than you could ever imagine. Create an account to find out for yourself how it works!
Uncompromising security for your PDF editing and eSignature needs
Your private information is safe with pdfFiller. We employ end-to-end encryption, secure cloud storage, and advanced access control to protect your documents and maintain regulatory compliance.
How to fill out mutual confidential disclosure agreement

How to fill out mutual confidential disclosure agreement
01
Read the agreement thoroughly to understand the terms and conditions.
02
Fill in the blanks with the required information, including the names of the parties involved, the purpose of the agreement, and the duration of confidentiality.
03
Include any specific provisions or exemptions that both parties agree on.
04
Sign and date the agreement, making sure that all parties involved also sign to make it legally binding.
05
Exchange copies with all parties involved and keep a record of the agreement for future reference.
Who needs mutual confidential disclosure agreement?
01
Businesses entering into partnerships or collaborations.
02
Entrepreneurs sharing confidential information with potential investors.
03
Employees working on sensitive projects that require confidentiality.
Fill
form
: Try Risk Free
For pdfFiller’s FAQs
Below is a list of the most common customer questions. If you can’t find an answer to your question, please don’t hesitate to reach out to us.
How do I execute mutual confidential disclosure agreement online?
pdfFiller makes it easy to finish and sign mutual confidential disclosure agreement online. It lets you make changes to original PDF content, highlight, black out, erase, and write text anywhere on a page, legally eSign your form, and more, all from one place. Create a free account and use the web to keep track of professional documents.
How do I complete mutual confidential disclosure agreement on an iOS device?
Install the pdfFiller app on your iOS device to fill out papers. If you have a subscription to the service, create an account or log in to an existing one. After completing the registration process, upload your mutual confidential disclosure agreement. You may now use pdfFiller's advanced features, such as adding fillable fields and eSigning documents, and accessing them from any device, wherever you are.
Can I edit mutual confidential disclosure agreement on an Android device?
You can. With the pdfFiller Android app, you can edit, sign, and distribute mutual confidential disclosure agreement from anywhere with an internet connection. Take use of the app's mobile capabilities.
What is mutual confidential disclosure agreement?
A mutual confidential disclosure agreement is a legal document that outlines the terms and conditions under which two or more parties agree to share confidential information with each other, while also agreeing to keep that information confidential.
Who is required to file mutual confidential disclosure agreement?
Any two or more parties who wish to share confidential information with each other are required to file a mutual confidential disclosure agreement.
How to fill out mutual confidential disclosure agreement?
To fill out a mutual confidential disclosure agreement, parties must provide details about the information being shared, the duration of the agreement, and the obligations of each party to keep the information confidential.
What is the purpose of mutual confidential disclosure agreement?
The purpose of a mutual confidential disclosure agreement is to protect confidential information that is shared between parties, ensuring that it is not disclosed to unauthorized third parties.
What information must be reported on mutual confidential disclosure agreement?
The mutual confidential disclosure agreement should include details about the parties involved, the confidential information being shared, the duration of the agreement, and the obligations of each party to keep the information confidential.
Fill out your mutual confidential disclosure agreement online with pdfFiller!
pdfFiller is an end-to-end solution for managing, creating, and editing documents and forms in the cloud. Save time and hassle by preparing your tax forms online.

Mutual Confidential Disclosure Agreement is not the form you're looking for?Search for another form here.
Relevant keywords
Related Forms
If you believe that this page should be taken down, please follow our DMCA take down process
here
.
This form may include fields for payment information. Data entered in these fields is not covered by PCI DSS compliance.