
Get the free hispanic heritage queen, princess, sweetheart, and little miss
Show details
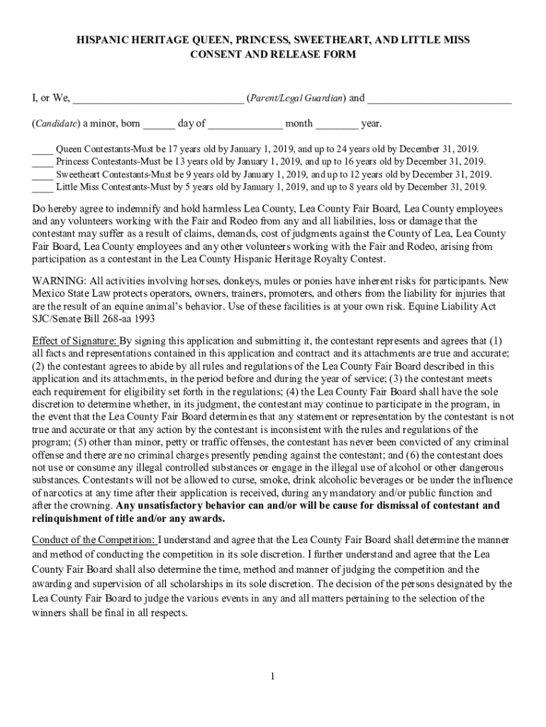
HISPANIC HERITAGE QUEEN, PRINCESS, SWEETHEART, AND LITTLE MISS CONSENT AND RELEASE FORM, or We, ___ (Parent/Legal Guardian) and ___ (Candidate) a minor, born ___ day of ___ month ___ year. ___ Queen
We are not affiliated with any brand or entity on this form
Get, Create, Make and Sign hispanic heritage queen princess

Edit your hispanic heritage queen princess form online
Type text, complete fillable fields, insert images, highlight or blackout data for discretion, add comments, and more.

Add your legally-binding signature
Draw or type your signature, upload a signature image, or capture it with your digital camera.

Share your form instantly
Email, fax, or share your hispanic heritage queen princess form via URL. You can also download, print, or export forms to your preferred cloud storage service.
How to edit hispanic heritage queen princess online
In order to make advantage of the professional PDF editor, follow these steps below:
1
Log in to account. Click on Start Free Trial and register a profile if you don't have one.
2
Simply add a document. Select Add New from your Dashboard and import a file into the system by uploading it from your device or importing it via the cloud, online, or internal mail. Then click Begin editing.
3
Edit hispanic heritage queen princess. Text may be added and replaced, new objects can be included, pages can be rearranged, watermarks and page numbers can be added, and so on. When you're done editing, click Done and then go to the Documents tab to combine, divide, lock, or unlock the file.
4
Get your file. Select the name of your file in the docs list and choose your preferred exporting method. You can download it as a PDF, save it in another format, send it by email, or transfer it to the cloud.
pdfFiller makes working with documents easier than you could ever imagine. Create an account to find out for yourself how it works!
Uncompromising security for your PDF editing and eSignature needs
Your private information is safe with pdfFiller. We employ end-to-end encryption, secure cloud storage, and advanced access control to protect your documents and maintain regulatory compliance.
How to fill out hispanic heritage queen princess

How to fill out hispanic heritage queen princess
01
Research the requirements and criteria for the Hispanic Heritage Queen Princess pageant or competition.
02
Complete the application form with accurate personal information, including name, age, contact details, and heritage background.
03
Prepare a resume or biography highlighting your achievements, involvements, and community contributions.
04
Select appropriate attire for the interview, talent portion, and evening gown segment of the competition.
05
Practice your interview skills and prepare to answer questions about your heritage, culture, and future aspirations.
06
Showcase your talent, whether it be through dance, song, poetry, or other performance.
07
Demonstrate grace, poise, and confidence during the competition to leave a lasting impression on the judges.
08
Participate in any additional requirements or events leading up to the crowning ceremony.
09
Support and encourage your fellow contestants throughout the process.
Who needs hispanic heritage queen princess?
01
Individuals who want to celebrate and promote Hispanic heritage and culture within their community.
02
Those who have a passion for representing their heritage and serving as a role model for others.
03
Aspiring young women who are looking for personal growth opportunities and leadership experiences.
04
People who wish to connect with their roots, explore their identity, and share their cultural pride.
Fill
form
: Try Risk Free
For pdfFiller’s FAQs
Below is a list of the most common customer questions. If you can’t find an answer to your question, please don’t hesitate to reach out to us.
Where do I find hispanic heritage queen princess?
The premium version of pdfFiller gives you access to a huge library of fillable forms (more than 25 million fillable templates). You can download, fill out, print, and sign them all. State-specific hispanic heritage queen princess and other forms will be easy to find in the library. Find the template you need and use advanced editing tools to make it your own.
Can I edit hispanic heritage queen princess on an iOS device?
No, you can't. With the pdfFiller app for iOS, you can edit, share, and sign hispanic heritage queen princess right away. At the Apple Store, you can buy and install it in a matter of seconds. The app is free, but you will need to set up an account if you want to buy a subscription or start a free trial.
How do I edit hispanic heritage queen princess on an Android device?
You can make any changes to PDF files, like hispanic heritage queen princess, with the help of the pdfFiller Android app. Edit, sign, and send documents right from your phone or tablet. You can use the app to make document management easier wherever you are.
What is hispanic heritage queen princess?
The Hispanic Heritage Queen Princess is a title given to a young woman who represents and celebrates Hispanic heritage and culture.
Who is required to file hispanic heritage queen princess?
Individuals who wish to compete or participate in events related to Hispanic heritage celebrations or pageants may be required to file for the Hispanic Heritage Queen Princess.
How to fill out hispanic heritage queen princess?
To fill out the Hispanic Heritage Queen Princess application, applicants typically need to provide personal information, background on their Hispanic heritage, and any relevant experience or achievements.
What is the purpose of hispanic heritage queen princess?
The purpose of the Hispanic Heritage Queen Princess is to honor and showcase young women who embody the beauty, culture, and traditions of the Hispanic community.
What information must be reported on hispanic heritage queen princess?
Information such as personal details, heritage background, community involvement, and any special talents or achievements may need to be reported on the Hispanic Heritage Queen Princess application.
Fill out your hispanic heritage queen princess online with pdfFiller!
pdfFiller is an end-to-end solution for managing, creating, and editing documents and forms in the cloud. Save time and hassle by preparing your tax forms online.

Hispanic Heritage Queen Princess is not the form you're looking for?Search for another form here.
Relevant keywords
Related Forms
If you believe that this page should be taken down, please follow our DMCA take down process
here
.
This form may include fields for payment information. Data entered in these fields is not covered by PCI DSS compliance.