
Get the free Important Dates 2023 - Amazon Web Services
Show details
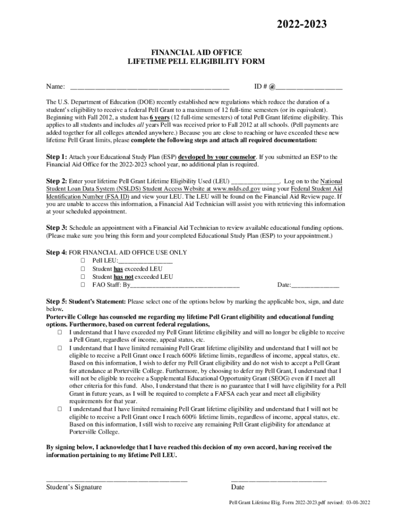
20222023 FINANCIAL AID OFFICE LIFETIME WELL ELIGIBILITY FORM ID # @___Name: ___The U.S. Department of Education (DOE) recently established new regulations which reduce the duration of a students'
We are not affiliated with any brand or entity on this form
Get, Create, Make and Sign important dates 2023

Edit your important dates 2023 form online
Type text, complete fillable fields, insert images, highlight or blackout data for discretion, add comments, and more.

Add your legally-binding signature
Draw or type your signature, upload a signature image, or capture it with your digital camera.

Share your form instantly
Email, fax, or share your important dates 2023 form via URL. You can also download, print, or export forms to your preferred cloud storage service.
How to edit important dates 2023 online
Use the instructions below to start using our professional PDF editor:
1
Create an account. Begin by choosing Start Free Trial and, if you are a new user, establish a profile.
2
Prepare a file. Use the Add New button to start a new project. Then, using your device, upload your file to the system by importing it from internal mail, the cloud, or adding its URL.
3
Edit important dates 2023. Rearrange and rotate pages, add and edit text, and use additional tools. To save changes and return to your Dashboard, click Done. The Documents tab allows you to merge, divide, lock, or unlock files.
4
Get your file. When you find your file in the docs list, click on its name and choose how you want to save it. To get the PDF, you can save it, send an email with it, or move it to the cloud.
With pdfFiller, it's always easy to work with documents.
Uncompromising security for your PDF editing and eSignature needs
Your private information is safe with pdfFiller. We employ end-to-end encryption, secure cloud storage, and advanced access control to protect your documents and maintain regulatory compliance.
How to fill out important dates 2023

How to fill out important dates 2023
01
Start by gathering all important dates such as birthdays, anniversaries, appointments, and deadlines for 2023.
02
Create a calendar or use a planner to organize these dates by month and day.
03
Make sure to mark these dates in advance to avoid missing any important events.
04
Consider setting reminders or alarms for these dates to ensure you remember them.
05
Review and update your important dates regularly to stay on top of your commitments.
Who needs important dates 2023?
01
Anyone who wants to stay organized and on top of their commitments for the year 2023.
02
Professionals who have deadlines, meetings, and appointments to keep track of.
03
Students who have project deadlines, exams, and school events to remember.
04
Families who want to remember birthdays, anniversaries, and other special occasions.
05
Anyone who values being proactive and prepared for upcoming events.
Fill
form
: Try Risk Free
For pdfFiller’s FAQs
Below is a list of the most common customer questions. If you can’t find an answer to your question, please don’t hesitate to reach out to us.
How can I send important dates 2023 for eSignature?
When you're ready to share your important dates 2023, you can send it to other people and get the eSigned document back just as quickly. Share your PDF by email, fax, text message, or USPS mail. You can also notarize your PDF on the web. You don't have to leave your account to do this.
How do I edit important dates 2023 straight from my smartphone?
The pdfFiller apps for iOS and Android smartphones are available in the Apple Store and Google Play Store. You may also get the program at https://edit-pdf-ios-android.pdffiller.com/. Open the web app, sign in, and start editing important dates 2023.
Can I edit important dates 2023 on an Android device?
With the pdfFiller mobile app for Android, you may make modifications to PDF files such as important dates 2023. Documents may be edited, signed, and sent directly from your mobile device. Install the app and you'll be able to manage your documents from anywhere.
What is important dates - amazon?
Important dates for Amazon typically refer to significant deadlines related to taxation, financial reporting, or other compliance-related schedules that sellers must adhere to in order to maintain their accounts.
Who is required to file important dates - amazon?
Sellers and businesses using the Amazon platform who are engaged in sales and are subject to tax obligations are required to file important dates.
How to fill out important dates - amazon?
To fill out important dates for Amazon, sellers must gather relevant financial information, tax identification numbers, and any necessary documentation, then input this information into the appropriate forms or reporting systems provided by Amazon.
What is the purpose of important dates - amazon?
The purpose of important dates for Amazon is to ensure that sellers meet regulatory compliance for sales tax, financial reporting, and other obligations, thus avoiding penalties and maintaining good standing on the platform.
What information must be reported on important dates - amazon?
Information to be reported typically includes sales figures, tax collected, expense reports, and any pertinent data that reflects the financial activities during the reporting period.
Fill out your important dates 2023 online with pdfFiller!
pdfFiller is an end-to-end solution for managing, creating, and editing documents and forms in the cloud. Save time and hassle by preparing your tax forms online.

Important Dates 2023 is not the form you're looking for?Search for another form here.
Relevant keywords
Related Forms
If you believe that this page should be taken down, please follow our DMCA take down process
here
.
This form may include fields for payment information. Data entered in these fields is not covered by PCI DSS compliance.