
Get the free RHS-1M (License Application-Medical). Licensing Forms
Show details
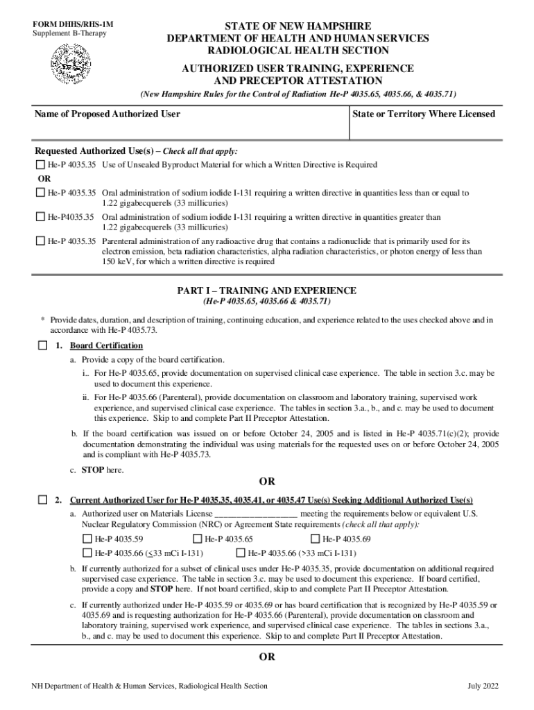
FORM HHS/RHS1M Supplement BTherapySTATE OF NEW HAMPSHIRE DEPARTMENT OF HEALTH AND HUMAN SERVICES RADIOLOGICAL HEALTH SECTION AUTHORIZED USER TRAINING, EXPERIENCE AND PRECEPTOR ATTESTATION (New Hampshire
We are not affiliated with any brand or entity on this form
Get, Create, Make and Sign rhs-1m license application-medical licensing

Edit your rhs-1m license application-medical licensing form online
Type text, complete fillable fields, insert images, highlight or blackout data for discretion, add comments, and more.

Add your legally-binding signature
Draw or type your signature, upload a signature image, or capture it with your digital camera.

Share your form instantly
Email, fax, or share your rhs-1m license application-medical licensing form via URL. You can also download, print, or export forms to your preferred cloud storage service.
How to edit rhs-1m license application-medical licensing online
To use our professional PDF editor, follow these steps:
1
Register the account. Begin by clicking Start Free Trial and create a profile if you are a new user.
2
Prepare a file. Use the Add New button to start a new project. Then, using your device, upload your file to the system by importing it from internal mail, the cloud, or adding its URL.
3
Edit rhs-1m license application-medical licensing. Rearrange and rotate pages, add and edit text, and use additional tools. To save changes and return to your Dashboard, click Done. The Documents tab allows you to merge, divide, lock, or unlock files.
4
Save your file. Select it from your list of records. Then, move your cursor to the right toolbar and choose one of the exporting options. You can save it in multiple formats, download it as a PDF, send it by email, or store it in the cloud, among other things.
With pdfFiller, it's always easy to work with documents. Try it out!
Uncompromising security for your PDF editing and eSignature needs
Your private information is safe with pdfFiller. We employ end-to-end encryption, secure cloud storage, and advanced access control to protect your documents and maintain regulatory compliance.
How to fill out rhs-1m license application-medical licensing

How to fill out rhs-1m license application-medical licensing
01
Obtain the rhs-1m license application-medical licensing form from the appropriate licensing authority.
02
Fill out all required personal information such as name, address, contact information, and any relevant qualifications.
03
Provide details about your medical education, training, and any certifications or licenses you currently hold.
04
Include information about your work experience in the medical field, including previous positions held and areas of specialization.
05
Attach any required documentation such as transcripts, letters of recommendation, and proof of accreditation or certification.
06
Review the completed application for accuracy and completeness before submitting it to the licensing authority.
Who needs rhs-1m license application-medical licensing?
01
Individuals who are looking to obtain a medical license or renew an existing medical license need to fill out the rhs-1m license application-medical licensing.
Fill
form
: Try Risk Free
For pdfFiller’s FAQs
Below is a list of the most common customer questions. If you can’t find an answer to your question, please don’t hesitate to reach out to us.
Can I create an electronic signature for signing my rhs-1m license application-medical licensing in Gmail?
With pdfFiller's add-on, you may upload, type, or draw a signature in Gmail. You can eSign your rhs-1m license application-medical licensing and other papers directly in your mailbox with pdfFiller. To preserve signed papers and your personal signatures, create an account.
How can I edit rhs-1m license application-medical licensing on a smartphone?
You can easily do so with pdfFiller's apps for iOS and Android devices, which can be found at the Apple Store and the Google Play Store, respectively. You can use them to fill out PDFs. We have a website where you can get the app, but you can also get it there. When you install the app, log in, and start editing rhs-1m license application-medical licensing, you can start right away.
How do I edit rhs-1m license application-medical licensing on an iOS device?
Create, edit, and share rhs-1m license application-medical licensing from your iOS smartphone with the pdfFiller mobile app. Installing it from the Apple Store takes only a few seconds. You may take advantage of a free trial and select a subscription that meets your needs.
What is rhs-1m license application-medical licensing?
rhs-1m license application-medical licensing is a form required for obtaining a medical license.
Who is required to file rhs-1m license application-medical licensing?
Medical professionals who wish to obtain or renew their medical license must file the rhs-1m license application.
How to fill out rhs-1m license application-medical licensing?
The rhs-1m license application must be filled out completely and accurately, providing all requested information and supporting documentation.
What is the purpose of rhs-1m license application-medical licensing?
The purpose of the rhs-1m license application is to ensure that medical professionals are qualified and competent to practice medicine.
What information must be reported on rhs-1m license application-medical licensing?
Information such as personal details, educational background, work experience, and any disciplinary actions must be reported on the rhs-1m license application.
Fill out your rhs-1m license application-medical licensing online with pdfFiller!
pdfFiller is an end-to-end solution for managing, creating, and editing documents and forms in the cloud. Save time and hassle by preparing your tax forms online.

Rhs-1m License Application-Medical Licensing is not the form you're looking for?Search for another form here.
Relevant keywords
Related Forms
If you believe that this page should be taken down, please follow our DMCA take down process
here
.
This form may include fields for payment information. Data entered in these fields is not covered by PCI DSS compliance.