Get the free Name: Hannah Birky
Show details
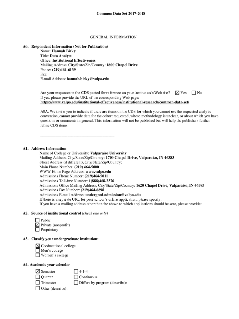
Common Data Set 20172018GENERAL INFORMATION A0. Respondent Information (Not for Publication) Name: Hannah Bird Title: Data Analyst Office: Institutional Effectiveness Mailing Address, City/State/Zip/Country:
We are not affiliated with any brand or entity on this form
Get, Create, Make and Sign name hannah birky
Edit your name hannah birky form online
Type text, complete fillable fields, insert images, highlight or blackout data for discretion, add comments, and more.
Add your legally-binding signature
Draw or type your signature, upload a signature image, or capture it with your digital camera.
Share your form instantly
Email, fax, or share your name hannah birky form via URL. You can also download, print, or export forms to your preferred cloud storage service.
How to edit name hannah birky online
Follow the steps below to benefit from the PDF editor's expertise:
1
Log in. Click Start Free Trial and create a profile if necessary.
2
Simply add a document. Select Add New from your Dashboard and import a file into the system by uploading it from your device or importing it via the cloud, online, or internal mail. Then click Begin editing.
3
Edit name hannah birky. Text may be added and replaced, new objects can be included, pages can be rearranged, watermarks and page numbers can be added, and so on. When you're done editing, click Done and then go to the Documents tab to combine, divide, lock, or unlock the file.
4
Get your file. Select your file from the documents list and pick your export method. You may save it as a PDF, email it, or upload it to the cloud.
pdfFiller makes dealing with documents a breeze. Create an account to find out!
Uncompromising security for your PDF editing and eSignature needs
Your private information is safe with pdfFiller. We employ end-to-end encryption, secure cloud storage, and advanced access control to protect your documents and maintain regulatory compliance.
How to fill out name hannah birky
How to fill out name hannah birky
01
Start by writing the first name 'Hannah'.
02
Follow by writing the last name 'Birky'.
Who needs name hannah birky?
01
Anyone who requires the full name of 'Hannah Birky' for official or formal purposes.
Fill
form
: Try Risk Free
For pdfFiller’s FAQs
Below is a list of the most common customer questions. If you can’t find an answer to your question, please don’t hesitate to reach out to us.
How can I modify name hannah birky without leaving Google Drive?
Simplify your document workflows and create fillable forms right in Google Drive by integrating pdfFiller with Google Docs. The integration will allow you to create, modify, and eSign documents, including name hannah birky, without leaving Google Drive. Add pdfFiller’s functionalities to Google Drive and manage your paperwork more efficiently on any internet-connected device.
How can I send name hannah birky for eSignature?
To distribute your name hannah birky, simply send it to others and receive the eSigned document back instantly. Post or email a PDF that you've notarized online. Doing so requires never leaving your account.
How do I make edits in name hannah birky without leaving Chrome?
Adding the pdfFiller Google Chrome Extension to your web browser will allow you to start editing name hannah birky and other documents right away when you search for them on a Google page. People who use Chrome can use the service to make changes to their files while they are on the Chrome browser. pdfFiller lets you make fillable documents and make changes to existing PDFs from any internet-connected device.
What is name hannah birky?
Name Hannah Birky is a form or document that may be related to personal identification, legal matters, or other purposes.
Who is required to file name hannah birky?
It depends on the specific requirements of the form or document. Generally, individuals or entities mentioned in the document are required to file it.
How to fill out name hannah birky?
The specific instructions for filling out Name Hannah Birky may vary. It is important to carefully read the form and follow the provided guidelines.
What is the purpose of name hannah birky?
The purpose of Name Hannah Birky may vary depending on the context in which it is used. It could be for identification, legal documentation, record-keeping, or other purposes.
What information must be reported on name hannah birky?
The information required on Name Hannah Birky will depend on the specific form or document. Typically, it may include personal information such as name, contact details, identification numbers, and other relevant details.
Fill out your name hannah birky online with pdfFiller!
pdfFiller is an end-to-end solution for managing, creating, and editing documents and forms in the cloud. Save time and hassle by preparing your tax forms online.
Name Hannah Birky is not the form you're looking for?Search for another form here.
Relevant keywords
Related Forms
If you believe that this page should be taken down, please follow our DMCA take down process
here
.
This form may include fields for payment information. Data entered in these fields is not covered by PCI DSS compliance.