
Get the free Psychology Minor - Cornell College
Show details
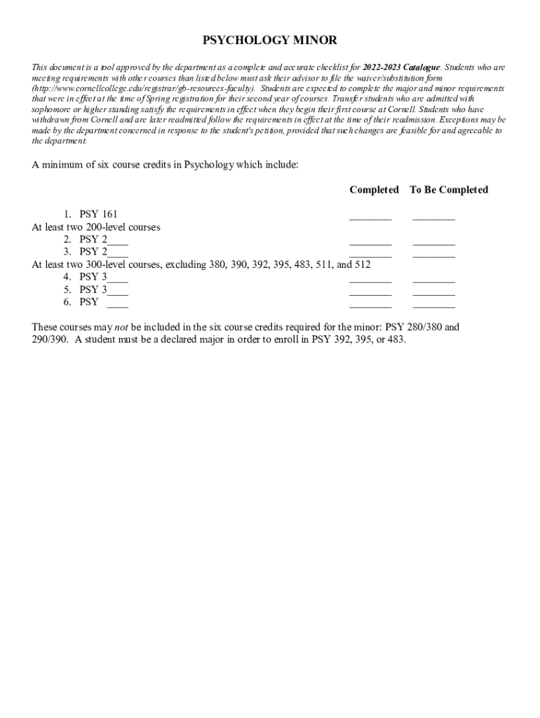
PSYCHOLOGY MINOR This document is a tool approved by the department as a complete and accurate checklist for 20222023 Catalogs. Students who are meeting requirements with other courses than listed
We are not affiliated with any brand or entity on this form
Get, Create, Make and Sign psychology minor - cornell

Edit your psychology minor - cornell form online
Type text, complete fillable fields, insert images, highlight or blackout data for discretion, add comments, and more.

Add your legally-binding signature
Draw or type your signature, upload a signature image, or capture it with your digital camera.

Share your form instantly
Email, fax, or share your psychology minor - cornell form via URL. You can also download, print, or export forms to your preferred cloud storage service.
How to edit psychology minor - cornell online
Follow the guidelines below to use a professional PDF editor:
1
Register the account. Begin by clicking Start Free Trial and create a profile if you are a new user.
2
Prepare a file. Use the Add New button to start a new project. Then, using your device, upload your file to the system by importing it from internal mail, the cloud, or adding its URL.
3
Edit psychology minor - cornell. Replace text, adding objects, rearranging pages, and more. Then select the Documents tab to combine, divide, lock or unlock the file.
4
Save your file. Select it from your list of records. Then, move your cursor to the right toolbar and choose one of the exporting options. You can save it in multiple formats, download it as a PDF, send it by email, or store it in the cloud, among other things.
It's easier to work with documents with pdfFiller than you can have ever thought. You can sign up for an account to see for yourself.
Uncompromising security for your PDF editing and eSignature needs
Your private information is safe with pdfFiller. We employ end-to-end encryption, secure cloud storage, and advanced access control to protect your documents and maintain regulatory compliance.
How to fill out psychology minor - cornell

How to fill out psychology minor - cornell
01
Meet with your academic advisor to discuss adding a psychology minor to your course plan.
02
Review the requirements for the psychology minor at Cornell University.
03
Choose the appropriate psychology courses that fulfill the minor requirements.
04
Register for the selected psychology courses each semester.
05
Complete the required number of credit hours in psychology courses to fulfill the minor.
06
Submit the necessary paperwork to officially declare the psychology minor.
Who needs psychology minor - cornell?
01
Students who are interested in expanding their knowledge of psychology.
02
Students who want to complement their major with a minor in psychology.
03
Students who wish to pursue further studies or careers related to psychology.
Fill
form
: Try Risk Free
For pdfFiller’s FAQs
Below is a list of the most common customer questions. If you can’t find an answer to your question, please don’t hesitate to reach out to us.
How can I edit psychology minor - cornell from Google Drive?
Using pdfFiller with Google Docs allows you to create, amend, and sign documents straight from your Google Drive. The add-on turns your psychology minor - cornell into a dynamic fillable form that you can manage and eSign from anywhere.
Where do I find psychology minor - cornell?
The premium version of pdfFiller gives you access to a huge library of fillable forms (more than 25 million fillable templates). You can download, fill out, print, and sign them all. State-specific psychology minor - cornell and other forms will be easy to find in the library. Find the template you need and use advanced editing tools to make it your own.
How do I make changes in psychology minor - cornell?
pdfFiller not only allows you to edit the content of your files but fully rearrange them by changing the number and sequence of pages. Upload your psychology minor - cornell to the editor and make any required adjustments in a couple of clicks. The editor enables you to blackout, type, and erase text in PDFs, add images, sticky notes and text boxes, and much more.
What is psychology minor - cornell?
A psychology minor at Cornell University is a program of study that allows students to gain a foundational understanding of psychological theories and principles.
Who is required to file psychology minor - cornell?
Students who wish to pursue a psychology minor at Cornell University are required to file the necessary paperwork and fulfill the requirements of the program.
How to fill out psychology minor - cornell?
To fill out the paperwork for a psychology minor at Cornell University, students must meet with their academic advisor to review the requirements and submit the necessary forms.
What is the purpose of psychology minor - cornell?
The purpose of a psychology minor at Cornell University is to provide students with a comprehensive understanding of psychological concepts and theories that can complement their major field of study.
What information must be reported on psychology minor - cornell?
Students filing for a psychology minor at Cornell University must report their intended course of study, academic advisor, and any relevant coursework that may fulfill the requirements.
Fill out your psychology minor - cornell online with pdfFiller!
pdfFiller is an end-to-end solution for managing, creating, and editing documents and forms in the cloud. Save time and hassle by preparing your tax forms online.

Psychology Minor - Cornell is not the form you're looking for?Search for another form here.
Relevant keywords
Related Forms
If you believe that this page should be taken down, please follow our DMCA take down process
here
.
This form may include fields for payment information. Data entered in these fields is not covered by PCI DSS compliance.