
Get the free What are my tasks for this assignment? - Personal Websites - homepages gac
Show details
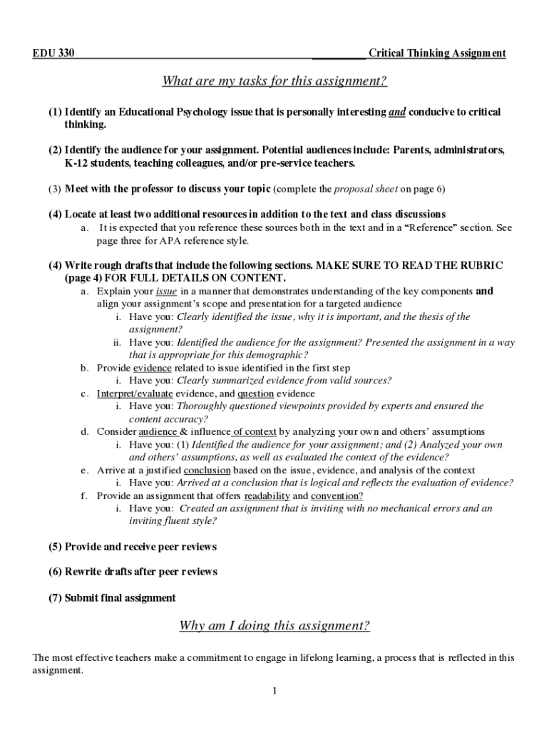
EDU 330___ Critical Thinking AssignmentWhat are my tasks for this assignment? (1) Identify an Educational Psychology issue that is personally interesting and conducive to critical thinking. (2) Identify
We are not affiliated with any brand or entity on this form
Get, Create, Make and Sign what are my tasks

Edit your what are my tasks form online
Type text, complete fillable fields, insert images, highlight or blackout data for discretion, add comments, and more.

Add your legally-binding signature
Draw or type your signature, upload a signature image, or capture it with your digital camera.

Share your form instantly
Email, fax, or share your what are my tasks form via URL. You can also download, print, or export forms to your preferred cloud storage service.
How to edit what are my tasks online
Here are the steps you need to follow to get started with our professional PDF editor:
1
Register the account. Begin by clicking Start Free Trial and create a profile if you are a new user.
2
Prepare a file. Use the Add New button. Then upload your file to the system from your device, importing it from internal mail, the cloud, or by adding its URL.
3
Edit what are my tasks. Rearrange and rotate pages, add and edit text, and use additional tools. To save changes and return to your Dashboard, click Done. The Documents tab allows you to merge, divide, lock, or unlock files.
4
Get your file. Select your file from the documents list and pick your export method. You may save it as a PDF, email it, or upload it to the cloud.
Dealing with documents is simple using pdfFiller. Try it now!
Uncompromising security for your PDF editing and eSignature needs
Your private information is safe with pdfFiller. We employ end-to-end encryption, secure cloud storage, and advanced access control to protect your documents and maintain regulatory compliance.
How to fill out what are my tasks

How to fill out what are my tasks
01
Make a list of all the tasks you have been assigned or are responsible for.
02
Prioritize the tasks based on deadlines or importance.
03
Break down each task into smaller, manageable steps if needed.
04
Set specific goals and deadlines for each task.
05
Monitor your progress and make adjustments as necessary.
06
Communicate with your supervisor or team members if you need clarification or guidance.
Who needs what are my tasks?
01
Individuals who are looking to stay organized and focused on their responsibilities.
02
Managers who want to ensure that their team members are aware of their tasks and responsibilities.
03
Students who want to effectively manage their coursework and assignments.
Fill
form
: Try Risk Free
For pdfFiller’s FAQs
Below is a list of the most common customer questions. If you can’t find an answer to your question, please don’t hesitate to reach out to us.
How do I complete what are my tasks online?
Filling out and eSigning what are my tasks is now simple. The solution allows you to change and reorganize PDF text, add fillable fields, and eSign the document. Start a free trial of pdfFiller, the best document editing solution.
How do I make changes in what are my tasks?
pdfFiller not only allows you to edit the content of your files but fully rearrange them by changing the number and sequence of pages. Upload your what are my tasks to the editor and make any required adjustments in a couple of clicks. The editor enables you to blackout, type, and erase text in PDFs, add images, sticky notes and text boxes, and much more.
How do I complete what are my tasks on an iOS device?
Install the pdfFiller app on your iOS device to fill out papers. If you have a subscription to the service, create an account or log in to an existing one. After completing the registration process, upload your what are my tasks. You may now use pdfFiller's advanced features, such as adding fillable fields and eSigning documents, and accessing them from any device, wherever you are.
What is what are my tasks?
Your tasks are the responsibilities and duties assigned to you in a particular role or job.
Who is required to file what are my tasks?
You are required to file your own tasks as part of your job or role.
How to fill out what are my tasks?
You can fill out your tasks by listing them clearly and describing the steps needed to complete each task.
What is the purpose of what are my tasks?
The purpose of your tasks is to outline the work that needs to be done in order to achieve specific goals or objectives.
What information must be reported on what are my tasks?
You must report detailed information about each task, including the deadline, resources needed, and progress updates.
Fill out your what are my tasks online with pdfFiller!
pdfFiller is an end-to-end solution for managing, creating, and editing documents and forms in the cloud. Save time and hassle by preparing your tax forms online.

What Are My Tasks is not the form you're looking for?Search for another form here.
Relevant keywords
Related Forms
If you believe that this page should be taken down, please follow our DMCA take down process
here
.
This form may include fields for payment information. Data entered in these fields is not covered by PCI DSS compliance.