Get the free Sample Facilities Use Agreement - Brotherhood MutualFacility Use Agreement: Definiti...
Show details
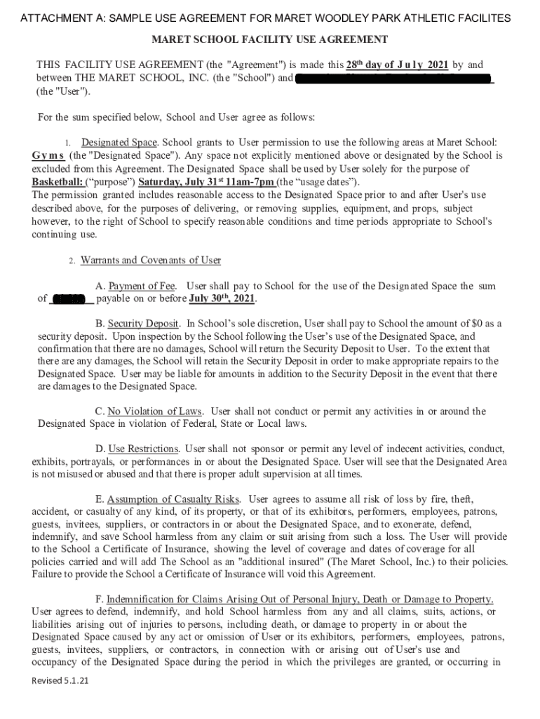
ATTACHMENT A: SAMPLE USE AGREEMENT FOR MARKET WOODEN PARK ATHLETIC FACILITIES MARKET SCHOOL FACILITY USE AGREEMENT THIS FACILITY USE AGREEMENT (the \” Agreement\”) is made this 28th day of J u
We are not affiliated with any brand or entity on this form
Get, Create, Make and Sign sample facilities use agreement
Edit your sample facilities use agreement form online
Type text, complete fillable fields, insert images, highlight or blackout data for discretion, add comments, and more.
Add your legally-binding signature
Draw or type your signature, upload a signature image, or capture it with your digital camera.
Share your form instantly
Email, fax, or share your sample facilities use agreement form via URL. You can also download, print, or export forms to your preferred cloud storage service.
Editing sample facilities use agreement online
To use our professional PDF editor, follow these steps:
1
Register the account. Begin by clicking Start Free Trial and create a profile if you are a new user.
2
Prepare a file. Use the Add New button to start a new project. Then, using your device, upload your file to the system by importing it from internal mail, the cloud, or adding its URL.
3
Edit sample facilities use agreement. Add and replace text, insert new objects, rearrange pages, add watermarks and page numbers, and more. Click Done when you are finished editing and go to the Documents tab to merge, split, lock or unlock the file.
4
Save your file. Select it from your records list. Then, click the right toolbar and select one of the various exporting options: save in numerous formats, download as PDF, email, or cloud.
With pdfFiller, it's always easy to work with documents.
Uncompromising security for your PDF editing and eSignature needs
Your private information is safe with pdfFiller. We employ end-to-end encryption, secure cloud storage, and advanced access control to protect your documents and maintain regulatory compliance.
How to fill out sample facilities use agreement
How to fill out sample facilities use agreement
01
Gather all the necessary information about the parties involved in the agreement.
02
Define the purpose of using the facilities and the duration of use.
03
Include any special terms or conditions agreed upon by both parties.
04
Clearly outline the responsibilities of each party regarding the facilities.
05
Specify the payment terms and any security deposit required.
06
Include clauses regarding liability, insurance, and indemnification.
07
Have both parties review and sign the agreement to make it legally binding.
Who needs sample facilities use agreement?
01
Any individual or organization that needs to use facilities owned by another party for a specific purpose or event.
Fill
form
: Try Risk Free
For pdfFiller’s FAQs
Below is a list of the most common customer questions. If you can’t find an answer to your question, please don’t hesitate to reach out to us.
Can I create an electronic signature for signing my sample facilities use agreement in Gmail?
You can easily create your eSignature with pdfFiller and then eSign your sample facilities use agreement directly from your inbox with the help of pdfFiller’s add-on for Gmail. Please note that you must register for an account in order to save your signatures and signed documents.
Can I edit sample facilities use agreement on an Android device?
With the pdfFiller mobile app for Android, you may make modifications to PDF files such as sample facilities use agreement. Documents may be edited, signed, and sent directly from your mobile device. Install the app and you'll be able to manage your documents from anywhere.
How do I fill out sample facilities use agreement on an Android device?
Use the pdfFiller app for Android to finish your sample facilities use agreement. The application lets you do all the things you need to do with documents, like add, edit, and remove text, sign, annotate, and more. There is nothing else you need except your smartphone and an internet connection to do this.
What is sample facilities use agreement?
A sample facilities use agreement is a legal document that outlines the terms and conditions for the use of a particular facility by a third party.
Who is required to file sample facilities use agreement?
The party responsible for the facility as well as the party seeking to use the facility are required to file the sample facilities use agreement.
How to fill out sample facilities use agreement?
The sample facilities use agreement can be filled out by providing all the necessary information about the facility, the parties involved, and the terms of use.
What is the purpose of sample facilities use agreement?
The purpose of the sample facilities use agreement is to establish clear guidelines and expectations for the use of the facility to avoid any misunderstandings or disputes.
What information must be reported on sample facilities use agreement?
The sample facilities use agreement must include details about the facility, the parties involved, the duration of use, any fees or charges, and any special conditions.
Fill out your sample facilities use agreement online with pdfFiller!
pdfFiller is an end-to-end solution for managing, creating, and editing documents and forms in the cloud. Save time and hassle by preparing your tax forms online.
Sample Facilities Use Agreement is not the form you're looking for?Search for another form here.
Relevant keywords
Related Forms
If you believe that this page should be taken down, please follow our DMCA take down process
here
.
This form may include fields for payment information. Data entered in these fields is not covered by PCI DSS compliance.