Get the free YMCA of Delaware Open Doors Financial Assistance Program
Show details
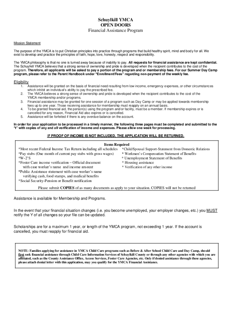
Schuylkill YMCA OPEN DOORS Financial Assistance Program Mission Statement The purpose of the YMCA is to put Christian principles into practice through programs that build healthy spirit, mind and
We are not affiliated with any brand or entity on this form
Get, Create, Make and Sign ymca of delaware open
Edit your ymca of delaware open form online
Type text, complete fillable fields, insert images, highlight or blackout data for discretion, add comments, and more.
Add your legally-binding signature
Draw or type your signature, upload a signature image, or capture it with your digital camera.
Share your form instantly
Email, fax, or share your ymca of delaware open form via URL. You can also download, print, or export forms to your preferred cloud storage service.
How to edit ymca of delaware open online
Use the instructions below to start using our professional PDF editor:
1
Log in. Click Start Free Trial and create a profile if necessary.
2
Prepare a file. Use the Add New button. Then upload your file to the system from your device, importing it from internal mail, the cloud, or by adding its URL.
3
Edit ymca of delaware open. Rearrange and rotate pages, add new and changed texts, add new objects, and use other useful tools. When you're done, click Done. You can use the Documents tab to merge, split, lock, or unlock your files.
4
Get your file. Select your file from the documents list and pick your export method. You may save it as a PDF, email it, or upload it to the cloud.
With pdfFiller, it's always easy to work with documents.
Uncompromising security for your PDF editing and eSignature needs
Your private information is safe with pdfFiller. We employ end-to-end encryption, secure cloud storage, and advanced access control to protect your documents and maintain regulatory compliance.
How to fill out ymca of delaware open
How to fill out ymca of delaware open
01
Visit the YMCA of Delaware website or location
02
Follow the instructions for membership registration
03
Provide all necessary personal information
04
Choose the type of membership you want (e.g. individual, family, student)
05
Pay the required membership fee
06
Receive your membership card and access to the facilities
Who needs ymca of delaware open?
01
Individuals looking to access fitness facilities and programs
02
Families wanting to participate in recreational activities
03
Students seeking a gym membership for physical wellness
Fill
form
: Try Risk Free
For pdfFiller’s FAQs
Below is a list of the most common customer questions. If you can’t find an answer to your question, please don’t hesitate to reach out to us.
How do I edit ymca of delaware open online?
pdfFiller allows you to edit not only the content of your files, but also the quantity and sequence of the pages. Upload your ymca of delaware open to the editor and make adjustments in a matter of seconds. Text in PDFs may be blacked out, typed in, and erased using the editor. You may also include photos, sticky notes, and text boxes, among other things.
How do I edit ymca of delaware open on an iOS device?
No, you can't. With the pdfFiller app for iOS, you can edit, share, and sign ymca of delaware open right away. At the Apple Store, you can buy and install it in a matter of seconds. The app is free, but you will need to set up an account if you want to buy a subscription or start a free trial.
How can I fill out ymca of delaware open on an iOS device?
Get and install the pdfFiller application for iOS. Next, open the app and log in or create an account to get access to all of the solution’s editing features. To open your ymca of delaware open, upload it from your device or cloud storage, or enter the document URL. After you complete all of the required fields within the document and eSign it (if that is needed), you can save it or share it with others.
What is ymca of delaware open?
The YMCA of Delaware is a nonprofit organization that provides various programs and services to the community.
Who is required to file ymca of delaware open?
The YMCA of Delaware is required to file Form 990 with the IRS.
How to fill out ymca of delaware open?
To fill out the Form 990 for the YMCA of Delaware, you will need to provide information about the organization's finances, programs, and governance.
What is the purpose of ymca of delaware open?
The purpose of filing Form 990 for the YMCA of Delaware is to provide transparency about the organization's finances and activities to the public.
What information must be reported on ymca of delaware open?
The Form 990 for the YMCA of Delaware requires information about the organization's revenue, expenses, assets, and governance structure.
Fill out your ymca of delaware open online with pdfFiller!
pdfFiller is an end-to-end solution for managing, creating, and editing documents and forms in the cloud. Save time and hassle by preparing your tax forms online.
Ymca Of Delaware Open is not the form you're looking for?Search for another form here.
Relevant keywords
Related Forms
If you believe that this page should be taken down, please follow our DMCA take down process
here
.
This form may include fields for payment information. Data entered in these fields is not covered by PCI DSS compliance.