Get the free Program Reporting Template
Show details
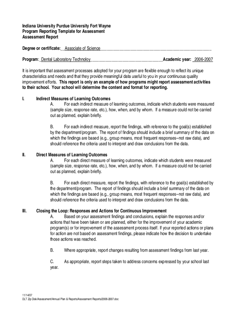
Indiana University Purdue University Fort Wayne Program Reporting Template for Assessment Report Degree or certificate:__Associate of Science___ Program:_Dental Laboratory Technoloy___Academic year:
We are not affiliated with any brand or entity on this form
Get, Create, Make and Sign program reporting template
Edit your program reporting template form online
Type text, complete fillable fields, insert images, highlight or blackout data for discretion, add comments, and more.
Add your legally-binding signature
Draw or type your signature, upload a signature image, or capture it with your digital camera.
Share your form instantly
Email, fax, or share your program reporting template form via URL. You can also download, print, or export forms to your preferred cloud storage service.
Editing program reporting template online
Use the instructions below to start using our professional PDF editor:
1
Log in. Click Start Free Trial and create a profile if necessary.
2
Upload a file. Select Add New on your Dashboard and upload a file from your device or import it from the cloud, online, or internal mail. Then click Edit.
3
Edit program reporting template. Rearrange and rotate pages, add and edit text, and use additional tools. To save changes and return to your Dashboard, click Done. The Documents tab allows you to merge, divide, lock, or unlock files.
4
Save your file. Select it in the list of your records. Then, move the cursor to the right toolbar and choose one of the available exporting methods: save it in multiple formats, download it as a PDF, send it by email, or store it in the cloud.
pdfFiller makes working with documents easier than you could ever imagine. Register for an account and see for yourself!
Uncompromising security for your PDF editing and eSignature needs
Your private information is safe with pdfFiller. We employ end-to-end encryption, secure cloud storage, and advanced access control to protect your documents and maintain regulatory compliance.
How to fill out program reporting template
How to fill out program reporting template
01
Gather all necessary information and data related to the program
02
Open the program reporting template in the relevant software or platform
03
Fill in each section of the template with the gathered information
04
Review the completed template for accuracy and completeness
05
Save the filled out program reporting template for future reference
Who needs program reporting template?
01
Program managers
02
Project coordinators
03
Funders or stakeholders
04
Government agencies
Fill
form
: Try Risk Free
For pdfFiller’s FAQs
Below is a list of the most common customer questions. If you can’t find an answer to your question, please don’t hesitate to reach out to us.
How can I send program reporting template to be eSigned by others?
Once your program reporting template is ready, you can securely share it with recipients and collect eSignatures in a few clicks with pdfFiller. You can send a PDF by email, text message, fax, USPS mail, or notarize it online - right from your account. Create an account now and try it yourself.
Can I create an eSignature for the program reporting template in Gmail?
Use pdfFiller's Gmail add-on to upload, type, or draw a signature. Your program reporting template and other papers may be signed using pdfFiller. Register for a free account to preserve signed papers and signatures.
How do I complete program reporting template on an iOS device?
In order to fill out documents on your iOS device, install the pdfFiller app. Create an account or log in to an existing one if you have a subscription to the service. Once the registration process is complete, upload your program reporting template. You now can take advantage of pdfFiller's advanced functionalities: adding fillable fields and eSigning documents, and accessing them from any device, wherever you are.
What is program reporting template?
A program reporting template is a standardized document used to collect and report information about specific programs, ensuring consistency and compliance with regulatory requirements.
Who is required to file program reporting template?
Organizations or individuals that implement programs and are subject to reporting requirements set forth by regulatory authorities are required to file the program reporting template.
How to fill out program reporting template?
To fill out the program reporting template, gather all relevant data related to the program, follow the provided guidelines or instructions, ensure all sections are completed accurately, and submit it by the deadline.
What is the purpose of program reporting template?
The purpose of the program reporting template is to facilitate transparency, accountability, and compliance by standardizing the information reported about programs.
What information must be reported on program reporting template?
Information typically required includes program objectives, activities conducted, participant demographics, outcomes achieved, financial expenditures, and any other relevant metrics specified by the regulatory body.
Fill out your program reporting template online with pdfFiller!
pdfFiller is an end-to-end solution for managing, creating, and editing documents and forms in the cloud. Save time and hassle by preparing your tax forms online.
Program Reporting Template is not the form you're looking for?Search for another form here.
Relevant keywords
Related Forms
If you believe that this page should be taken down, please follow our DMCA take down process
here
.
This form may include fields for payment information. Data entered in these fields is not covered by PCI DSS compliance.