Get the free How to Remove S3.amazonaws.com Pop-ups Cybernews
Show details
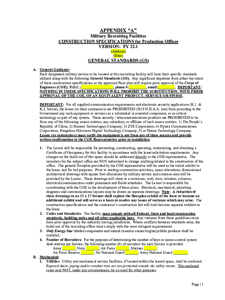
APPENDIX Military Recruiting Facilities CONSTRUCTION SPECIFICATIONS for Production Offices VERSION: FY 22.1 (Address) (Date)GENERAL STANDARDS (GS) A. General Guidance: Each designated military service
We are not affiliated with any brand or entity on this form
Get, Create, Make and Sign how to remove s3amazonawscom
Edit your how to remove s3amazonawscom form online
Type text, complete fillable fields, insert images, highlight or blackout data for discretion, add comments, and more.
Add your legally-binding signature
Draw or type your signature, upload a signature image, or capture it with your digital camera.
Share your form instantly
Email, fax, or share your how to remove s3amazonawscom form via URL. You can also download, print, or export forms to your preferred cloud storage service.
How to edit how to remove s3amazonawscom online
Follow the steps down below to take advantage of the professional PDF editor:
1
Create an account. Begin by choosing Start Free Trial and, if you are a new user, establish a profile.
2
Simply add a document. Select Add New from your Dashboard and import a file into the system by uploading it from your device or importing it via the cloud, online, or internal mail. Then click Begin editing.
3
Edit how to remove s3amazonawscom. Add and replace text, insert new objects, rearrange pages, add watermarks and page numbers, and more. Click Done when you are finished editing and go to the Documents tab to merge, split, lock or unlock the file.
4
Get your file. Select your file from the documents list and pick your export method. You may save it as a PDF, email it, or upload it to the cloud.
It's easier to work with documents with pdfFiller than you could have ever thought. You may try it out for yourself by signing up for an account.
Uncompromising security for your PDF editing and eSignature needs
Your private information is safe with pdfFiller. We employ end-to-end encryption, secure cloud storage, and advanced access control to protect your documents and maintain regulatory compliance.
How to fill out how to remove s3amazonawscom
How to fill out how to remove s3amazonawscom
01
Log in to your Amazon S3 account.
02
Navigate to the bucket where the object with s3amazonaws.com needs to be removed.
03
Click on the object that needs to be deleted.
04
Select 'Delete' from the actions menu.
05
Confirm the deletion.
Who needs how to remove s3amazonawscom?
01
Users who want to clean up their Amazon S3 storage by removing unwanted objects with s3amazonaws.com links.
Fill
form
: Try Risk Free
For pdfFiller’s FAQs
Below is a list of the most common customer questions. If you can’t find an answer to your question, please don’t hesitate to reach out to us.
How do I edit how to remove s3amazonawscom online?
pdfFiller not only lets you change the content of your files, but you can also change the number and order of pages. Upload your how to remove s3amazonawscom to the editor and make any changes in a few clicks. The editor lets you black out, type, and erase text in PDFs. You can also add images, sticky notes, and text boxes, as well as many other things.
How can I fill out how to remove s3amazonawscom on an iOS device?
In order to fill out documents on your iOS device, install the pdfFiller app. Create an account or log in to an existing one if you have a subscription to the service. Once the registration process is complete, upload your how to remove s3amazonawscom. You now can take advantage of pdfFiller's advanced functionalities: adding fillable fields and eSigning documents, and accessing them from any device, wherever you are.
How do I edit how to remove s3amazonawscom on an Android device?
The pdfFiller app for Android allows you to edit PDF files like how to remove s3amazonawscom. Mobile document editing, signing, and sending. Install the app to ease document management anywhere.
What is how to remove s3amazonawscom?
How to remove s3amazonawscom may refer to the process of deleting or eliminating content hosted on the s3.amazonaws platform.
Who is required to file how to remove s3amazonawscom?
Typically, individuals or entities who have uploaded content to s3.amazonaws and wish to remove it would be required to follow the process to remove s3amazonawscom.
How to fill out how to remove s3amazonawscom?
To fill out how to remove s3amazonawscom, one would need to follow the specific steps provided by s3.amazonaws for content removal.
What is the purpose of how to remove s3amazonawscom?
The purpose of how to remove s3amazonawscom is to give users a way to manage and delete their content from the s3.amazonaws platform.
What information must be reported on how to remove s3amazonawscom?
The information required for how to remove s3amazonawscom may include details of the content to be removed, the reason for removal, and any necessary permissions.
Fill out your how to remove s3amazonawscom online with pdfFiller!
pdfFiller is an end-to-end solution for managing, creating, and editing documents and forms in the cloud. Save time and hassle by preparing your tax forms online.
How To Remove s3amazonawscom is not the form you're looking for?Search for another form here.
Relevant keywords
Related Forms
If you believe that this page should be taken down, please follow our DMCA take down process
here
.
This form may include fields for payment information. Data entered in these fields is not covered by PCI DSS compliance.