
Get the free Indian Army Soldier Nursing Assistant Recruitment Rally 2022JoinIndian Army Nursing ...
Show details
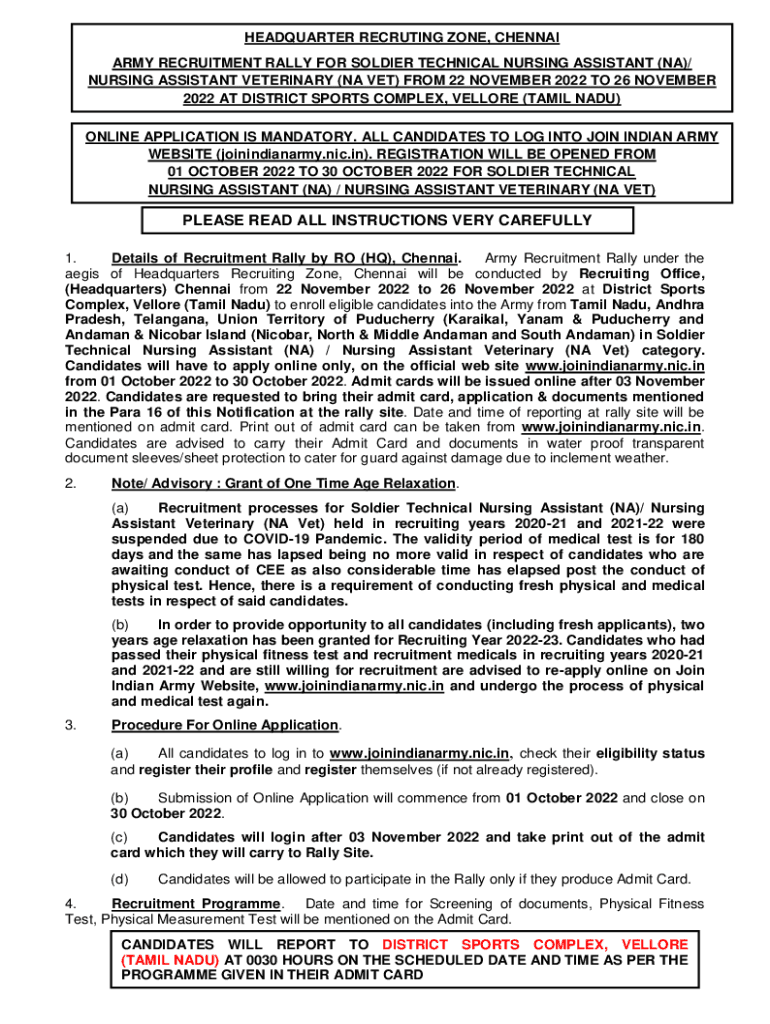
HEADQUARTER RECRUITING ZONE, CHENNAI ARMY RECRUITMENT RALLY FOR SOLDIER TECHNICAL NURSING ASSISTANT (NA)/ NURSING ASSISTANT VETERINARY (NA VET) FROM 22 NOVEMBER 2022 TO 26 NOVEMBER 2022 AT DISTRICT
We are not affiliated with any brand or entity on this form
Get, Create, Make and Sign indian army soldier nursing

Edit your indian army soldier nursing form online
Type text, complete fillable fields, insert images, highlight or blackout data for discretion, add comments, and more.

Add your legally-binding signature
Draw or type your signature, upload a signature image, or capture it with your digital camera.

Share your form instantly
Email, fax, or share your indian army soldier nursing form via URL. You can also download, print, or export forms to your preferred cloud storage service.
Editing indian army soldier nursing online
To use our professional PDF editor, follow these steps:
1
Set up an account. If you are a new user, click Start Free Trial and establish a profile.
2
Upload a file. Select Add New on your Dashboard and upload a file from your device or import it from the cloud, online, or internal mail. Then click Edit.
3
Edit indian army soldier nursing. Add and change text, add new objects, move pages, add watermarks and page numbers, and more. Then click Done when you're done editing and go to the Documents tab to merge or split the file. If you want to lock or unlock the file, click the lock or unlock button.
4
Get your file. When you find your file in the docs list, click on its name and choose how you want to save it. To get the PDF, you can save it, send an email with it, or move it to the cloud.
pdfFiller makes dealing with documents a breeze. Create an account to find out!
Uncompromising security for your PDF editing and eSignature needs
Your private information is safe with pdfFiller. We employ end-to-end encryption, secure cloud storage, and advanced access control to protect your documents and maintain regulatory compliance.
How to fill out indian army soldier nursing

How to fill out indian army soldier nursing
01
Obtain the Indian Army soldier nursing application form either online or from a recruitment center.
02
Fill in your personal details such as name, date of birth, address, etc. accurately.
03
Provide details of your educational qualifications and any previous nursing experience.
04
Attach all required documents such as educational certificates, ID proof, and passport size photographs.
05
Submit the completed application form to the designated authority before the deadline.
Who needs indian army soldier nursing?
01
Indian Army soldiers who are interested in pursuing a career in nursing within the military.
Fill
form
: Try Risk Free
For pdfFiller’s FAQs
Below is a list of the most common customer questions. If you can’t find an answer to your question, please don’t hesitate to reach out to us.
How can I edit indian army soldier nursing from Google Drive?
People who need to keep track of documents and fill out forms quickly can connect PDF Filler to their Google Docs account. This means that they can make, edit, and sign documents right from their Google Drive. Make your indian army soldier nursing into a fillable form that you can manage and sign from any internet-connected device with this add-on.
Can I create an electronic signature for signing my indian army soldier nursing in Gmail?
Use pdfFiller's Gmail add-on to upload, type, or draw a signature. Your indian army soldier nursing and other papers may be signed using pdfFiller. Register for a free account to preserve signed papers and signatures.
How do I fill out the indian army soldier nursing form on my smartphone?
On your mobile device, use the pdfFiller mobile app to complete and sign indian army soldier nursing. Visit our website (https://edit-pdf-ios-android.pdffiller.com/) to discover more about our mobile applications, the features you'll have access to, and how to get started.
What is indian army soldier nursing?
Indian Army Soldier Nursing is a role in the Indian Army that involves providing medical care to fellow soldiers.
Who is required to file indian army soldier nursing?
Qualified nurses or medical professionals who are enlisted in the Indian Army are required to file Soldier Nursing reports.
How to fill out indian army soldier nursing?
Soldier Nursing reports can be filled out by providing detailed information about the medical care provided to soldiers, including diagnoses, treatments, and outcomes.
What is the purpose of indian army soldier nursing?
The purpose of Soldier Nursing reports is to maintain accurate records of medical care provided to soldiers and ensure that they receive appropriate treatment.
What information must be reported on indian army soldier nursing?
Information such as patient demographics, medical history, diagnosis, treatment plan, and follow-up care must be reported on Soldier Nursing reports.
Fill out your indian army soldier nursing online with pdfFiller!
pdfFiller is an end-to-end solution for managing, creating, and editing documents and forms in the cloud. Save time and hassle by preparing your tax forms online.

Indian Army Soldier Nursing is not the form you're looking for?Search for another form here.
Relevant keywords
Related Forms
If you believe that this page should be taken down, please follow our DMCA take down process
here
.
This form may include fields for payment information. Data entered in these fields is not covered by PCI DSS compliance.