
Get the free Board Approved Budget FY21 - Financial Services - Missouri State
Show details
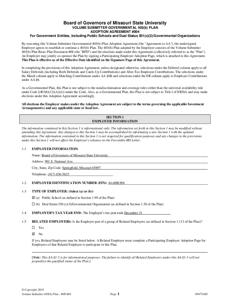
Board of Governors of Missouri State University VOLUME SUBMITTER GOVERNMENTAL 403(b) PLAN ADOPTION AGREEMENT #004 For Government Entities, including Public Schools and Dual Status 501(c)(3)/Governmental
We are not affiliated with any brand or entity on this form
Get, Create, Make and Sign board approved budget fy21

Edit your board approved budget fy21 form online
Type text, complete fillable fields, insert images, highlight or blackout data for discretion, add comments, and more.

Add your legally-binding signature
Draw or type your signature, upload a signature image, or capture it with your digital camera.

Share your form instantly
Email, fax, or share your board approved budget fy21 form via URL. You can also download, print, or export forms to your preferred cloud storage service.
Editing board approved budget fy21 online
Follow the steps below to benefit from a competent PDF editor:
1
Log in. Click Start Free Trial and create a profile if necessary.
2
Prepare a file. Use the Add New button. Then upload your file to the system from your device, importing it from internal mail, the cloud, or by adding its URL.
3
Edit board approved budget fy21. Add and change text, add new objects, move pages, add watermarks and page numbers, and more. Then click Done when you're done editing and go to the Documents tab to merge or split the file. If you want to lock or unlock the file, click the lock or unlock button.
4
Get your file. Select the name of your file in the docs list and choose your preferred exporting method. You can download it as a PDF, save it in another format, send it by email, or transfer it to the cloud.
With pdfFiller, it's always easy to work with documents.
Uncompromising security for your PDF editing and eSignature needs
Your private information is safe with pdfFiller. We employ end-to-end encryption, secure cloud storage, and advanced access control to protect your documents and maintain regulatory compliance.
How to fill out board approved budget fy21

How to fill out board approved budget fy21
01
Gather all necessary financial information for the upcoming fiscal year.
02
Review the previous year's budget to identify any trends or areas for improvement.
03
Work with department heads or team members to create detailed budgets for each department or project.
04
Present the proposed budget to the board for approval, including any supporting documentation or explanations.
05
Address any questions or concerns raised by the board members and make any necessary revisions.
06
Once approved, distribute the final budget to relevant stakeholders and begin implementation.
Who needs board approved budget fy21?
01
Organizations, businesses, or entities that require financial planning and oversight for the fiscal year.
02
Board members or stakeholders responsible for making financial decisions and allocating resources.
03
Government agencies or non-profit organizations that are required to adhere to budgetary restrictions or guidelines.
Fill
form
: Try Risk Free
For pdfFiller’s FAQs
Below is a list of the most common customer questions. If you can’t find an answer to your question, please don’t hesitate to reach out to us.
How can I get board approved budget fy21?
The premium subscription for pdfFiller provides you with access to an extensive library of fillable forms (over 25M fillable templates) that you can download, fill out, print, and sign. You won’t have any trouble finding state-specific board approved budget fy21 and other forms in the library. Find the template you need and customize it using advanced editing functionalities.
Can I create an electronic signature for signing my board approved budget fy21 in Gmail?
Upload, type, or draw a signature in Gmail with the help of pdfFiller’s add-on. pdfFiller enables you to eSign your board approved budget fy21 and other documents right in your inbox. Register your account in order to save signed documents and your personal signatures.
How do I fill out board approved budget fy21 on an Android device?
Complete board approved budget fy21 and other documents on your Android device with the pdfFiller app. The software allows you to modify information, eSign, annotate, and share files. You may view your papers from anywhere with an internet connection.
What is board approved budget fy21?
The board approved budget for fiscal year 2021 is the financial plan that has been reviewed and accepted by the organization's board of directors for the fiscal year 2021.
Who is required to file board approved budget fy21?
The organization's finance department or financial team is typically responsible for preparing and filing the board approved budget for fiscal year 2021.
How to fill out board approved budget fy21?
To fill out the board approved budget for fiscal year 2021, the organization's finance team should gather financial data, project expenses and revenues, and ensure alignment with organizational goals and priorities.
What is the purpose of board approved budget fy21?
The purpose of the board approved budget for fiscal year 2021 is to provide a financial roadmap for the organization, help allocate resources effectively, and monitor financial performance throughout the year.
What information must be reported on board approved budget fy21?
The board approved budget for fiscal year 2021 should include projected revenues, expenses, cash flow projections, budget variance analysis, and any significant assumptions or risks.
Fill out your board approved budget fy21 online with pdfFiller!
pdfFiller is an end-to-end solution for managing, creating, and editing documents and forms in the cloud. Save time and hassle by preparing your tax forms online.

Board Approved Budget fy21 is not the form you're looking for?Search for another form here.
Relevant keywords
Related Forms
If you believe that this page should be taken down, please follow our DMCA take down process
here
.
This form may include fields for payment information. Data entered in these fields is not covered by PCI DSS compliance.