Get the free Annual Review Components For Emergency and Crisis Response Plans
Show details
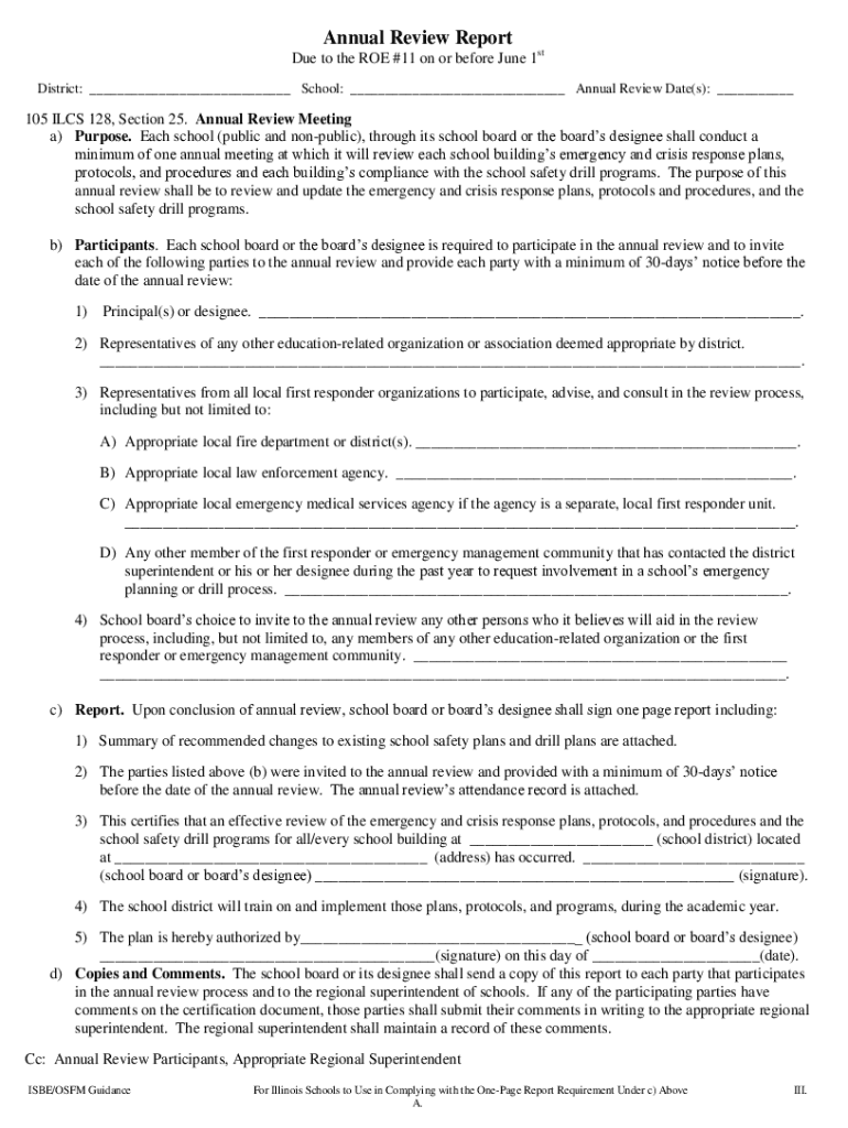
Annual Review Report Due to the ROE #11 on or before June 1st District: ___. School: ___. Annual Review Date(s): ___.105 ILLS 128, Section 25. Annual Review Meeting a) Purpose. Each school (public
We are not affiliated with any brand or entity on this form
Get, Create, Make and Sign annual review components for
Edit your annual review components for form online
Type text, complete fillable fields, insert images, highlight or blackout data for discretion, add comments, and more.
Add your legally-binding signature
Draw or type your signature, upload a signature image, or capture it with your digital camera.
Share your form instantly
Email, fax, or share your annual review components for form via URL. You can also download, print, or export forms to your preferred cloud storage service.
Editing annual review components for online
Follow the steps below to benefit from a competent PDF editor:
1
Set up an account. If you are a new user, click Start Free Trial and establish a profile.
2
Upload a file. Select Add New on your Dashboard and upload a file from your device or import it from the cloud, online, or internal mail. Then click Edit.
3
Edit annual review components for. Add and change text, add new objects, move pages, add watermarks and page numbers, and more. Then click Done when you're done editing and go to the Documents tab to merge or split the file. If you want to lock or unlock the file, click the lock or unlock button.
4
Get your file. Select your file from the documents list and pick your export method. You may save it as a PDF, email it, or upload it to the cloud.
Dealing with documents is simple using pdfFiller. Now is the time to try it!
Uncompromising security for your PDF editing and eSignature needs
Your private information is safe with pdfFiller. We employ end-to-end encryption, secure cloud storage, and advanced access control to protect your documents and maintain regulatory compliance.
How to fill out annual review components for
How to fill out annual review components for
01
Reflect on goals and achievements for the past year.
02
Review performance feedback and ratings from supervisors.
03
Fill out self-assessment form with honest evaluations of strengths and areas for improvement.
04
Discuss career development goals and training needs with supervisors.
05
Attend annual review meeting to discuss results and set goals for the upcoming year.
Who needs annual review components for?
01
Annual review components are needed by employees and their supervisors to assess performance, set goals, and provide feedback for professional development.
Fill
form
: Try Risk Free
For pdfFiller’s FAQs
Below is a list of the most common customer questions. If you can’t find an answer to your question, please don’t hesitate to reach out to us.
Where do I find annual review components for?
The premium subscription for pdfFiller provides you with access to an extensive library of fillable forms (over 25M fillable templates) that you can download, fill out, print, and sign. You won’t have any trouble finding state-specific annual review components for and other forms in the library. Find the template you need and customize it using advanced editing functionalities.
Can I create an electronic signature for the annual review components for in Chrome?
Yes. With pdfFiller for Chrome, you can eSign documents and utilize the PDF editor all in one spot. Create a legally enforceable eSignature by sketching, typing, or uploading a handwritten signature image. You may eSign your annual review components for in seconds.
How do I edit annual review components for on an iOS device?
No, you can't. With the pdfFiller app for iOS, you can edit, share, and sign annual review components for right away. At the Apple Store, you can buy and install it in a matter of seconds. The app is free, but you will need to set up an account if you want to buy a subscription or start a free trial.
What is annual review components for?
Annual review components are used to assess the performance and progress of an individual or a company over the past year.
Who is required to file annual review components for?
Typically, employees and businesses are required to complete annual review components.
How to fill out annual review components for?
Annual review components can be filled out by providing a summary of achievements, goals, and areas of improvement.
What is the purpose of annual review components for?
The purpose of annual review components is to evaluate performance, set goals for the future, and provide feedback for improvement.
What information must be reported on annual review components for?
Information such as achievements, strengths, weaknesses, and goals for the upcoming year should be reported on annual review components.
Fill out your annual review components for online with pdfFiller!
pdfFiller is an end-to-end solution for managing, creating, and editing documents and forms in the cloud. Save time and hassle by preparing your tax forms online.
Annual Review Components For is not the form you're looking for?Search for another form here.
Relevant keywords
Related Forms
If you believe that this page should be taken down, please follow our DMCA take down process
here
.
This form may include fields for payment information. Data entered in these fields is not covered by PCI DSS compliance.