Get the free NYS Consolidated Fiscal Report Manual - New York State Education Department
Show details
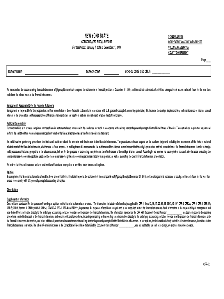
NEW YORK STATECONSOLIDATED FISCAL REPORT For the Period: January 1, 2019, to December 31, 2019SCHEDULE CFR ii INDEPENDENT ACCOUNTANT\'S REPORT VOLUNTARY AGENCY or COUNTY GOVERNMENT Page ___ AGENCY
We are not affiliated with any brand or entity on this form
Get, Create, Make and Sign nys consolidated fiscal report
Edit your nys consolidated fiscal report form online
Type text, complete fillable fields, insert images, highlight or blackout data for discretion, add comments, and more.
Add your legally-binding signature
Draw or type your signature, upload a signature image, or capture it with your digital camera.
Share your form instantly
Email, fax, or share your nys consolidated fiscal report form via URL. You can also download, print, or export forms to your preferred cloud storage service.
How to edit nys consolidated fiscal report online
Here are the steps you need to follow to get started with our professional PDF editor:
1
Create an account. Begin by choosing Start Free Trial and, if you are a new user, establish a profile.
2
Prepare a file. Use the Add New button. Then upload your file to the system from your device, importing it from internal mail, the cloud, or by adding its URL.
3
Edit nys consolidated fiscal report. Add and replace text, insert new objects, rearrange pages, add watermarks and page numbers, and more. Click Done when you are finished editing and go to the Documents tab to merge, split, lock or unlock the file.
4
Save your file. Select it in the list of your records. Then, move the cursor to the right toolbar and choose one of the available exporting methods: save it in multiple formats, download it as a PDF, send it by email, or store it in the cloud.
It's easier to work with documents with pdfFiller than you can have ever thought. Sign up for a free account to view.
Uncompromising security for your PDF editing and eSignature needs
Your private information is safe with pdfFiller. We employ end-to-end encryption, secure cloud storage, and advanced access control to protect your documents and maintain regulatory compliance.
How to fill out nys consolidated fiscal report
How to fill out nys consolidated fiscal report
01
Access the NYS Consolidated Fiscal Report (CFR) form on the New York State Education Department website.
02
Fill in all required fields with accurate information, including district name, address, contact information, and fiscal year.
03
Provide detailed financial information, including revenues, expenditures, and fund balances.
04
Ensure that all calculations are accurate and that all required documentation is attached.
05
Review the completed form for accuracy and completeness before submitting it to the appropriate authorities.
Who needs nys consolidated fiscal report?
01
School districts in New York State are required to submit the NYS Consolidated Fiscal Report to the New York State Education Department.
02
State officials, auditors, and other stakeholders may also use the report to monitor the financial health and compliance of school districts.
Fill
form
: Try Risk Free
For pdfFiller’s FAQs
Below is a list of the most common customer questions. If you can’t find an answer to your question, please don’t hesitate to reach out to us.
How can I manage my nys consolidated fiscal report directly from Gmail?
You can use pdfFiller’s add-on for Gmail in order to modify, fill out, and eSign your nys consolidated fiscal report along with other documents right in your inbox. Find pdfFiller for Gmail in Google Workspace Marketplace. Use time you spend on handling your documents and eSignatures for more important things.
How can I modify nys consolidated fiscal report without leaving Google Drive?
People who need to keep track of documents and fill out forms quickly can connect PDF Filler to their Google Docs account. This means that they can make, edit, and sign documents right from their Google Drive. Make your nys consolidated fiscal report into a fillable form that you can manage and sign from any internet-connected device with this add-on.
How do I fill out nys consolidated fiscal report using my mobile device?
You can quickly make and fill out legal forms with the help of the pdfFiller app on your phone. Complete and sign nys consolidated fiscal report and other documents on your mobile device using the application. If you want to learn more about how the PDF editor works, go to pdfFiller.com.
What is nys consolidated fiscal report?
The NYS Consolidated Fiscal Report is a financial document that provides a comprehensive overview of the financial activities of an organization for a specific period of time.
Who is required to file nys consolidated fiscal report?
Nonprofit organizations in New York State that receive funding from government agencies or provide services funded by the state are required to file the NYS Consolidated Fiscal Report.
How to fill out nys consolidated fiscal report?
The NYS Consolidated Fiscal Report can be filled out online through the NYS Grants Gateway system, following the specific instructions provided by the state.
What is the purpose of nys consolidated fiscal report?
The purpose of the NYS Consolidated Fiscal Report is to ensure transparency and accountability in the use of public funds by nonprofit organizations in New York State.
What information must be reported on nys consolidated fiscal report?
The NYS Consolidated Fiscal Report requires detailed information on the organization's financial activities, including revenue sources, expenses, program services, and any funding received from government agencies.
Fill out your nys consolidated fiscal report online with pdfFiller!
pdfFiller is an end-to-end solution for managing, creating, and editing documents and forms in the cloud. Save time and hassle by preparing your tax forms online.
Nys Consolidated Fiscal Report is not the form you're looking for?Search for another form here.
Relevant keywords
Related Forms
If you believe that this page should be taken down, please follow our DMCA take down process
here
.
This form may include fields for payment information. Data entered in these fields is not covered by PCI DSS compliance.