
Get the free barbour county schools - WVSchools.com
Show details
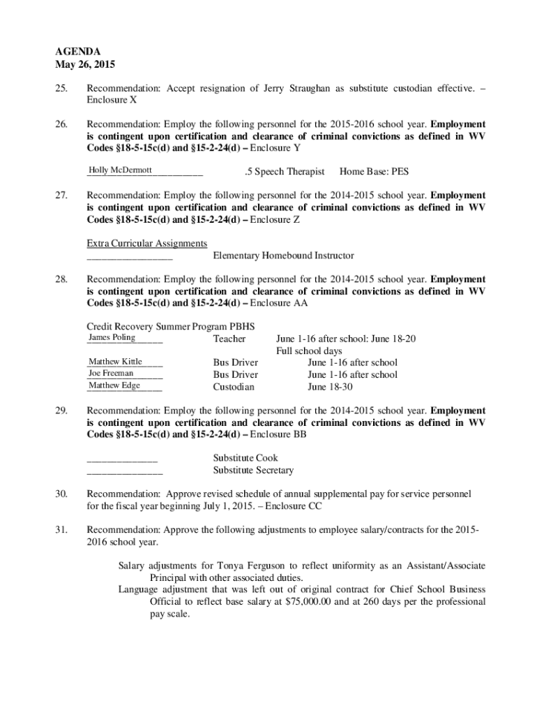
BARBOUR COUNTY SCHOOLS PHILIPPE WV 26416 MEMORANDUM TO:BOARD MEMBERS David Everson Joanne McConnell Eric RUF Dana Temple Reggie Strengthen, Jr.FROM:JOE SUPER, SUPERINTENDENTDATE:May 19, 2015RE:BOARD
We are not affiliated with any brand or entity on this form
Get, Create, Make and Sign barbour county schools

Edit your barbour county schools form online
Type text, complete fillable fields, insert images, highlight or blackout data for discretion, add comments, and more.

Add your legally-binding signature
Draw or type your signature, upload a signature image, or capture it with your digital camera.

Share your form instantly
Email, fax, or share your barbour county schools form via URL. You can also download, print, or export forms to your preferred cloud storage service.
How to edit barbour county schools online
Follow the steps below to benefit from a competent PDF editor:
1
Log in. Click Start Free Trial and create a profile if necessary.
2
Upload a file. Select Add New on your Dashboard and upload a file from your device or import it from the cloud, online, or internal mail. Then click Edit.
3
Edit barbour county schools. Rearrange and rotate pages, add new and changed texts, add new objects, and use other useful tools. When you're done, click Done. You can use the Documents tab to merge, split, lock, or unlock your files.
4
Get your file. Select the name of your file in the docs list and choose your preferred exporting method. You can download it as a PDF, save it in another format, send it by email, or transfer it to the cloud.
With pdfFiller, it's always easy to deal with documents.
Uncompromising security for your PDF editing and eSignature needs
Your private information is safe with pdfFiller. We employ end-to-end encryption, secure cloud storage, and advanced access control to protect your documents and maintain regulatory compliance.
How to fill out barbour county schools

How to fill out barbour county schools
01
Obtain a copy of the enrollment forms from the Barbour County Schools website or contact the school directly.
02
Fill out all requested information accurately, including student's name, birthdate, address, and parental contact information.
03
Provide any required documentation, such as proof of residency or previous school records.
04
Submit the completed enrollment forms and documentation to the appropriate school office.
Who needs barbour county schools?
01
Students who reside in Barbour County and are eligible for public education.
02
Parents or guardians of students who wish to enroll in a public school in Barbour County.
Fill
form
: Try Risk Free
For pdfFiller’s FAQs
Below is a list of the most common customer questions. If you can’t find an answer to your question, please don’t hesitate to reach out to us.
How can I get barbour county schools?
It's simple using pdfFiller, an online document management tool. Use our huge online form collection (over 25M fillable forms) to quickly discover the barbour county schools. Open it immediately and start altering it with sophisticated capabilities.
Can I sign the barbour county schools electronically in Chrome?
Yes. By adding the solution to your Chrome browser, you may use pdfFiller to eSign documents while also enjoying all of the PDF editor's capabilities in one spot. Create a legally enforceable eSignature by sketching, typing, or uploading a photo of your handwritten signature using the extension. Whatever option you select, you'll be able to eSign your barbour county schools in seconds.
How do I complete barbour county schools on an Android device?
Use the pdfFiller mobile app to complete your barbour county schools on an Android device. The application makes it possible to perform all needed document management manipulations, like adding, editing, and removing text, signing, annotating, and more. All you need is your smartphone and an internet connection.
What is Barbour County Schools?
Barbour County Schools is a public school district located in Barbour County, Alabama.
Who is required to file Barbour County Schools?
All residents of Barbour County with school-age children are required to file Barbour County Schools forms.
How to fill out Barbour County Schools?
To fill out Barbour County Schools forms, residents must provide information about their children's enrollment status, attendance, and academic progress.
What is the purpose of Barbour County Schools?
The purpose of Barbour County Schools is to collect data on the student population, monitor educational outcomes, and allocate resources effectively.
What information must be reported on Barbour County Schools?
Information such as student demographics, attendance records, academic performance, and special needs accommodations must be reported on Barbour County Schools forms.
Fill out your barbour county schools online with pdfFiller!
pdfFiller is an end-to-end solution for managing, creating, and editing documents and forms in the cloud. Save time and hassle by preparing your tax forms online.

Barbour County Schools is not the form you're looking for?Search for another form here.
Relevant keywords
Related Forms
If you believe that this page should be taken down, please follow our DMCA take down process
here
.
This form may include fields for payment information. Data entered in these fields is not covered by PCI DSS compliance.