Get the free Latest Updates - Windsor Essex Catholic District School Board
Show details
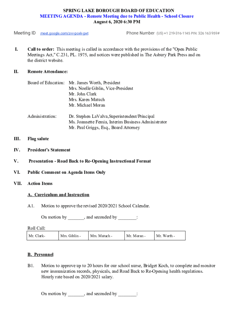
SPRING LAKE BOROUGH BOARD OF EDUCATION MEETING AGENDA Remote Meeting due to Public Health School Closure August 6, 2020 6:30 PM Meeting IDmeet.google.com/zvvpoxkgwtPhone Number (US) +1 2193161145
We are not affiliated with any brand or entity on this form
Get, Create, Make and Sign latest updates - windsor
Edit your latest updates - windsor form online
Type text, complete fillable fields, insert images, highlight or blackout data for discretion, add comments, and more.
Add your legally-binding signature
Draw or type your signature, upload a signature image, or capture it with your digital camera.
Share your form instantly
Email, fax, or share your latest updates - windsor form via URL. You can also download, print, or export forms to your preferred cloud storage service.
Editing latest updates - windsor online
Here are the steps you need to follow to get started with our professional PDF editor:
1
Log in. Click Start Free Trial and create a profile if necessary.
2
Prepare a file. Use the Add New button. Then upload your file to the system from your device, importing it from internal mail, the cloud, or by adding its URL.
3
Edit latest updates - windsor. Rearrange and rotate pages, insert new and alter existing texts, add new objects, and take advantage of other helpful tools. Click Done to apply changes and return to your Dashboard. Go to the Documents tab to access merging, splitting, locking, or unlocking functions.
4
Save your file. Select it in the list of your records. Then, move the cursor to the right toolbar and choose one of the available exporting methods: save it in multiple formats, download it as a PDF, send it by email, or store it in the cloud.
It's easier to work with documents with pdfFiller than you can have ever thought. You can sign up for an account to see for yourself.
Uncompromising security for your PDF editing and eSignature needs
Your private information is safe with pdfFiller. We employ end-to-end encryption, secure cloud storage, and advanced access control to protect your documents and maintain regulatory compliance.
How to fill out latest updates - windsor
How to fill out latest updates - windsor
01
Check for any official announcements regarding the latest updates in Windsor.
02
Gather all the necessary information that needs to be filled out for the updates.
03
Fill out the required forms accurately and completely.
04
Double-check all the information provided to ensure accuracy.
05
Submit the filled-out forms through the appropriate channels as specified in the instructions.
Who needs latest updates - windsor?
01
Residents of Windsor who want to stay informed about any changes or updates in the area.
02
Local businesses and organizations that need to comply with any new regulations or guidelines.
03
Visitors or tourists who are planning to visit Windsor and want to be aware of any updates that may affect their plans.
Fill
form
: Try Risk Free
For pdfFiller’s FAQs
Below is a list of the most common customer questions. If you can’t find an answer to your question, please don’t hesitate to reach out to us.
How can I modify latest updates - windsor without leaving Google Drive?
Using pdfFiller with Google Docs allows you to create, amend, and sign documents straight from your Google Drive. The add-on turns your latest updates - windsor into a dynamic fillable form that you can manage and eSign from anywhere.
How do I complete latest updates - windsor online?
Completing and signing latest updates - windsor online is easy with pdfFiller. It enables you to edit original PDF content, highlight, blackout, erase and type text anywhere on a page, legally eSign your form, and much more. Create your free account and manage professional documents on the web.
How do I fill out latest updates - windsor on an Android device?
Use the pdfFiller Android app to finish your latest updates - windsor and other documents on your Android phone. The app has all the features you need to manage your documents, like editing content, eSigning, annotating, sharing files, and more. At any time, as long as there is an internet connection.
What is latest updates - windsor?
Latest updates - windsor refer to the most recent information or changes related to the area of Windsor.
Who is required to file latest updates - windsor?
Anyone who has relevant information or changes to report regarding Windsor is required to file the latest updates - windsor.
How to fill out latest updates - windsor?
To fill out the latest updates - windsor, individuals or organizations can use the designated forms or online platforms provided by the relevant authorities in Windsor.
What is the purpose of latest updates - windsor?
The purpose of latest updates - windsor is to keep the public informed about any recent developments or changes in Windsor that may impact them.
What information must be reported on latest updates - windsor?
Information such as new regulations, upcoming events, infrastructure projects, or any other relevant updates about Windsor must be reported on the latest updates - windsor.
Fill out your latest updates - windsor online with pdfFiller!
pdfFiller is an end-to-end solution for managing, creating, and editing documents and forms in the cloud. Save time and hassle by preparing your tax forms online.
Latest Updates - Windsor is not the form you're looking for?Search for another form here.
Relevant keywords
Related Forms
If you believe that this page should be taken down, please follow our DMCA take down process
here
.
This form may include fields for payment information. Data entered in these fields is not covered by PCI DSS compliance.