Get the free Notice of Endangered Species Act Violations re Turkey Point ...
Show details
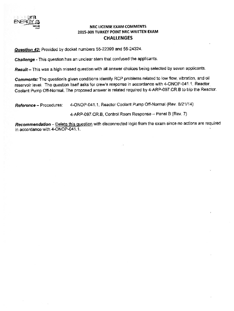
AJH.ENERGY NRC LICENSE EXAM COMMENTS 2015301 TURKEY POINT NRC WRITTEN EXAMCHALLENG ES Question 42: Provided by docket numbers 5522399 and 5524324. Challenge This question has an unclear stem that
We are not affiliated with any brand or entity on this form
Get, Create, Make and Sign notice of endangered species
Edit your notice of endangered species form online
Type text, complete fillable fields, insert images, highlight or blackout data for discretion, add comments, and more.
Add your legally-binding signature
Draw or type your signature, upload a signature image, or capture it with your digital camera.
Share your form instantly
Email, fax, or share your notice of endangered species form via URL. You can also download, print, or export forms to your preferred cloud storage service.
Editing notice of endangered species online
To use the professional PDF editor, follow these steps:
1
Log in to account. Start Free Trial and sign up a profile if you don't have one.
2
Upload a document. Select Add New on your Dashboard and transfer a file into the system in one of the following ways: by uploading it from your device or importing from the cloud, web, or internal mail. Then, click Start editing.
3
Edit notice of endangered species. Text may be added and replaced, new objects can be included, pages can be rearranged, watermarks and page numbers can be added, and so on. When you're done editing, click Done and then go to the Documents tab to combine, divide, lock, or unlock the file.
4
Get your file. Select the name of your file in the docs list and choose your preferred exporting method. You can download it as a PDF, save it in another format, send it by email, or transfer it to the cloud.
It's easier to work with documents with pdfFiller than you could have ever thought. You may try it out for yourself by signing up for an account.
Uncompromising security for your PDF editing and eSignature needs
Your private information is safe with pdfFiller. We employ end-to-end encryption, secure cloud storage, and advanced access control to protect your documents and maintain regulatory compliance.
How to fill out notice of endangered species
How to fill out notice of endangered species
01
Obtain the appropriate form for the notice of endangered species.
02
Fill in the required information such as your name, contact information, the species of concern, and the reason for the notice.
03
Provide any supporting documentation or evidence of the endangered species status.
04
Submit the completed form to the relevant authorities or agencies responsible for protecting endangered species.
Who needs notice of endangered species?
01
Individuals or organizations who have observed or have knowledge of endangered species in their area.
Fill
form
: Try Risk Free
For pdfFiller’s FAQs
Below is a list of the most common customer questions. If you can’t find an answer to your question, please don’t hesitate to reach out to us.
How can I get notice of endangered species?
It's simple using pdfFiller, an online document management tool. Use our huge online form collection (over 25M fillable forms) to quickly discover the notice of endangered species. Open it immediately and start altering it with sophisticated capabilities.
How can I edit notice of endangered species on a smartphone?
The best way to make changes to documents on a mobile device is to use pdfFiller's apps for iOS and Android. You may get them from the Apple Store and Google Play. Learn more about the apps here. To start editing notice of endangered species, you need to install and log in to the app.
How do I complete notice of endangered species on an iOS device?
Get and install the pdfFiller application for iOS. Next, open the app and log in or create an account to get access to all of the solution’s editing features. To open your notice of endangered species, upload it from your device or cloud storage, or enter the document URL. After you complete all of the required fields within the document and eSign it (if that is needed), you can save it or share it with others.
What is notice of endangered species?
The notice of endangered species is a formal document that provides information about endangered species and their habitats.
Who is required to file notice of endangered species?
Any individual, organization, or government agency involved in activities that may impact endangered species is required to file a notice of endangered species.
How to fill out notice of endangered species?
The notice of endangered species can be filled out by providing information about the species, their habitats, the purpose of the activity, and any mitigation measures that will be taken.
What is the purpose of notice of endangered species?
The purpose of the notice of endangered species is to ensure that activities do not harm endangered species and their habitats, and to facilitate communication between stakeholders.
What information must be reported on notice of endangered species?
The notice of endangered species must include details about the species, their habitats, the location and purpose of the activity, and any mitigation measures that will be implemented to protect the species.
Fill out your notice of endangered species online with pdfFiller!
pdfFiller is an end-to-end solution for managing, creating, and editing documents and forms in the cloud. Save time and hassle by preparing your tax forms online.
Notice Of Endangered Species is not the form you're looking for?Search for another form here.
Relevant keywords
Related Forms
If you believe that this page should be taken down, please follow our DMCA take down process
here
.
This form may include fields for payment information. Data entered in these fields is not covered by PCI DSS compliance.