
Get the free Indoor Air Quality - Plumbing and Heating by Craig inc.
Show details
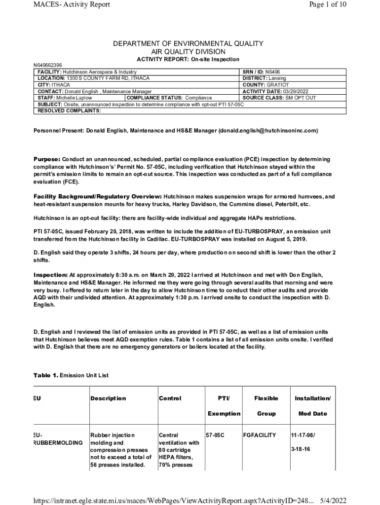
MACES Activity Reportage 1 of 10DEPARTMENT OF ENVIRONMENTAL QUALITY AIR QUALITY DIVISION ACTIVITY REPORT: Onsite Inspection N649662396 FACILITY: Hutchinson Aerospace & Industry SON / ID: N6496 LOCATION:
We are not affiliated with any brand or entity on this form
Get, Create, Make and Sign indoor air quality

Edit your indoor air quality form online
Type text, complete fillable fields, insert images, highlight or blackout data for discretion, add comments, and more.

Add your legally-binding signature
Draw or type your signature, upload a signature image, or capture it with your digital camera.

Share your form instantly
Email, fax, or share your indoor air quality form via URL. You can also download, print, or export forms to your preferred cloud storage service.
How to edit indoor air quality online
To use the services of a skilled PDF editor, follow these steps:
1
Register the account. Begin by clicking Start Free Trial and create a profile if you are a new user.
2
Prepare a file. Use the Add New button to start a new project. Then, using your device, upload your file to the system by importing it from internal mail, the cloud, or adding its URL.
3
Edit indoor air quality. Add and change text, add new objects, move pages, add watermarks and page numbers, and more. Then click Done when you're done editing and go to the Documents tab to merge or split the file. If you want to lock or unlock the file, click the lock or unlock button.
4
Get your file. Select the name of your file in the docs list and choose your preferred exporting method. You can download it as a PDF, save it in another format, send it by email, or transfer it to the cloud.
It's easier to work with documents with pdfFiller than you could have believed. You may try it out for yourself by signing up for an account.
Uncompromising security for your PDF editing and eSignature needs
Your private information is safe with pdfFiller. We employ end-to-end encryption, secure cloud storage, and advanced access control to protect your documents and maintain regulatory compliance.
How to fill out indoor air quality

How to fill out indoor air quality
01
Identify potential sources of indoor air pollution such as tobacco smoke, mold, or dust.
02
Use an indoor air quality monitor to measure levels of pollutants like carbon monoxide, radon, or volatile organic compounds.
03
Improve ventilation by opening windows or using exhaust fans to help remove pollutants from the air.
04
Use an air purifier to filter out particles and pollutants from the air.
05
Maintain a clean home by regularly cleaning and dusting to reduce indoor air pollution.
Who needs indoor air quality?
01
Anyone concerned about their respiratory health or overall well-being.
02
People with asthma, allergies, or other respiratory conditions.
03
Those living in areas with high levels of outdoor air pollution.
04
Individuals who spend a lot of time indoors, such as office workers or stay-at-home parents.
Fill
form
: Try Risk Free
For pdfFiller’s FAQs
Below is a list of the most common customer questions. If you can’t find an answer to your question, please don’t hesitate to reach out to us.
How can I send indoor air quality for eSignature?
To distribute your indoor air quality, simply send it to others and receive the eSigned document back instantly. Post or email a PDF that you've notarized online. Doing so requires never leaving your account.
How do I execute indoor air quality online?
pdfFiller makes it easy to finish and sign indoor air quality online. It lets you make changes to original PDF content, highlight, black out, erase, and write text anywhere on a page, legally eSign your form, and more, all from one place. Create a free account and use the web to keep track of professional documents.
How do I make changes in indoor air quality?
With pdfFiller, it's easy to make changes. Open your indoor air quality in the editor, which is very easy to use and understand. When you go there, you'll be able to black out and change text, write and erase, add images, draw lines, arrows, and more. You can also add sticky notes and text boxes.
What is indoor air quality?
Indoor air quality refers to the air quality within and around buildings and structures, especially as it relates to the health and comfort of occupants.
Who is required to file indoor air quality?
Depending on local regulations, building owners, landlords, or property managers may be required to file indoor air quality reports.
How to fill out indoor air quality?
Indoor air quality reports can typically be filled out electronically or through specific forms provided by regulatory agencies.
What is the purpose of indoor air quality?
The purpose of indoor air quality reporting is to ensure that the air inside buildings is safe and healthy for occupants to breathe.
What information must be reported on indoor air quality?
Information such as ventilation systems, presence of pollutants, humidity levels, and any complaints from occupants may need to be reported on indoor air quality forms.
Fill out your indoor air quality online with pdfFiller!
pdfFiller is an end-to-end solution for managing, creating, and editing documents and forms in the cloud. Save time and hassle by preparing your tax forms online.

Indoor Air Quality is not the form you're looking for?Search for another form here.
Relevant keywords
Related Forms
If you believe that this page should be taken down, please follow our DMCA take down process
here
.
This form may include fields for payment information. Data entered in these fields is not covered by PCI DSS compliance.