Get the free Manual 005: Pipeline Inspections - Alberta Energy Regulator
Show details
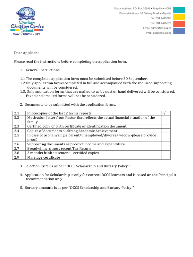
Dear Applicant Please read the instructions before completing the application form. 1. General instructions 1.1 The completed application form must be submitted before 30 September. 1.2 Only application
We are not affiliated with any brand or entity on this form
Get, Create, Make and Sign manual 005 pipeline inspections
Edit your manual 005 pipeline inspections form online
Type text, complete fillable fields, insert images, highlight or blackout data for discretion, add comments, and more.
Add your legally-binding signature
Draw or type your signature, upload a signature image, or capture it with your digital camera.
Share your form instantly
Email, fax, or share your manual 005 pipeline inspections form via URL. You can also download, print, or export forms to your preferred cloud storage service.
How to edit manual 005 pipeline inspections online
Follow the steps down below to benefit from a competent PDF editor:
1
Set up an account. If you are a new user, click Start Free Trial and establish a profile.
2
Prepare a file. Use the Add New button to start a new project. Then, using your device, upload your file to the system by importing it from internal mail, the cloud, or adding its URL.
3
Edit manual 005 pipeline inspections. Rearrange and rotate pages, add and edit text, and use additional tools. To save changes and return to your Dashboard, click Done. The Documents tab allows you to merge, divide, lock, or unlock files.
4
Save your file. Select it from your list of records. Then, move your cursor to the right toolbar and choose one of the exporting options. You can save it in multiple formats, download it as a PDF, send it by email, or store it in the cloud, among other things.
With pdfFiller, dealing with documents is always straightforward.
Uncompromising security for your PDF editing and eSignature needs
Your private information is safe with pdfFiller. We employ end-to-end encryption, secure cloud storage, and advanced access control to protect your documents and maintain regulatory compliance.
How to fill out manual 005 pipeline inspections
How to fill out manual 005 pipeline inspections
01
Gather all necessary tools and equipment needed for the inspection such as a flashlight, measuring tape, camera, and inspection forms.
02
Start by reviewing the inspection checklist and familiarizing yourself with the requirements and standards set forth in manual 005.
03
Inspect the pipeline by walking along its length and visually inspecting for any signs of damage or wear.
04
Use the measuring tape to check for proper pipe diameter and straightness at specified intervals.
05
Take detailed notes and photographs of any issues or concerns found during the inspection.
06
Fill out the inspection forms accurately and completely, documenting all findings and any necessary corrective actions.
07
Submit the completed inspection forms to the appropriate regulatory agencies or authorities as required.
Who needs manual 005 pipeline inspections?
01
Pipeline operators and owners who are responsible for the maintenance and safety of their pipelines.
02
Regulatory agencies that oversee the operation and maintenance of pipelines to ensure compliance with safety standards.
03
Inspection and maintenance crews who perform routine inspections to identify any potential issues that may pose a risk to the pipeline's integrity.
Fill
form
: Try Risk Free
For pdfFiller’s FAQs
Below is a list of the most common customer questions. If you can’t find an answer to your question, please don’t hesitate to reach out to us.
How can I edit manual 005 pipeline inspections from Google Drive?
Simplify your document workflows and create fillable forms right in Google Drive by integrating pdfFiller with Google Docs. The integration will allow you to create, modify, and eSign documents, including manual 005 pipeline inspections, without leaving Google Drive. Add pdfFiller’s functionalities to Google Drive and manage your paperwork more efficiently on any internet-connected device.
Can I sign the manual 005 pipeline inspections electronically in Chrome?
As a PDF editor and form builder, pdfFiller has a lot of features. It also has a powerful e-signature tool that you can add to your Chrome browser. With our extension, you can type, draw, or take a picture of your signature with your webcam to make your legally-binding eSignature. Choose how you want to sign your manual 005 pipeline inspections and you'll be done in minutes.
How do I edit manual 005 pipeline inspections straight from my smartphone?
The pdfFiller apps for iOS and Android smartphones are available in the Apple Store and Google Play Store. You may also get the program at https://edit-pdf-ios-android.pdffiller.com/. Open the web app, sign in, and start editing manual 005 pipeline inspections.
What is manual 005 pipeline inspections?
Manual 005 pipeline inspections is a set of guidelines and procedures for inspecting pipelines to ensure safety and compliance with regulations.
Who is required to file manual 005 pipeline inspections?
Operators of pipelines are required to file manual 005 pipeline inspections.
How to fill out manual 005 pipeline inspections?
Manual 005 pipeline inspections can be filled out by following the instructions provided in the manual and submitting the required information.
What is the purpose of manual 005 pipeline inspections?
The purpose of manual 005 pipeline inspections is to ensure the safety and integrity of pipelines and to comply with regulatory requirements.
What information must be reported on manual 005 pipeline inspections?
Information such as pipeline location, condition, inspection dates, and findings must be reported on manual 005 pipeline inspections.
Fill out your manual 005 pipeline inspections online with pdfFiller!
pdfFiller is an end-to-end solution for managing, creating, and editing documents and forms in the cloud. Save time and hassle by preparing your tax forms online.
Manual 005 Pipeline Inspections is not the form you're looking for?Search for another form here.
Relevant keywords
Related Forms
If you believe that this page should be taken down, please follow our DMCA take down process
here
.
This form may include fields for payment information. Data entered in these fields is not covered by PCI DSS compliance.