
Get the free Instructions for Filling Out a Hysterectomy Statement - NCTracks
Show details
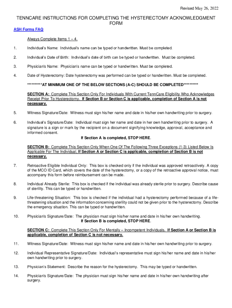
Revised May 26, 2022TENNCARE INSTRUCTIONS FOR COMPLETING THE HYSTERECTOMY ACKNOWLEDGMENT FORM ASH Forms FAQ Always Complete Items 1 4. 1. Individuals Name: Individuals name can be typed or handwritten.
We are not affiliated with any brand or entity on this form
Get, Create, Make and Sign instructions for filling out

Edit your instructions for filling out form online
Type text, complete fillable fields, insert images, highlight or blackout data for discretion, add comments, and more.

Add your legally-binding signature
Draw or type your signature, upload a signature image, or capture it with your digital camera.

Share your form instantly
Email, fax, or share your instructions for filling out form via URL. You can also download, print, or export forms to your preferred cloud storage service.
How to edit instructions for filling out online
Here are the steps you need to follow to get started with our professional PDF editor:
1
Create an account. Begin by choosing Start Free Trial and, if you are a new user, establish a profile.
2
Upload a document. Select Add New on your Dashboard and transfer a file into the system in one of the following ways: by uploading it from your device or importing from the cloud, web, or internal mail. Then, click Start editing.
3
Edit instructions for filling out. Replace text, adding objects, rearranging pages, and more. Then select the Documents tab to combine, divide, lock or unlock the file.
4
Get your file. Select your file from the documents list and pick your export method. You may save it as a PDF, email it, or upload it to the cloud.
With pdfFiller, it's always easy to work with documents. Try it out!
Uncompromising security for your PDF editing and eSignature needs
Your private information is safe with pdfFiller. We employ end-to-end encryption, secure cloud storage, and advanced access control to protect your documents and maintain regulatory compliance.
How to fill out instructions for filling out

How to fill out instructions for filling out
01
Read the instructions carefully before starting.
02
Gather all the necessary materials and information needed to complete the form.
03
Fill out each section accurately and legibly.
04
Double-check your answers for any errors or missing information.
05
Follow any specific formatting or submission guidelines provided.
Who needs instructions for filling out?
01
Anyone who is required to complete a form or document
02
Individuals applying for a job or university
03
Students filling out college or financial aid applications
04
Individuals submitting tax forms or any legal documentation
Fill
form
: Try Risk Free
For pdfFiller’s FAQs
Below is a list of the most common customer questions. If you can’t find an answer to your question, please don’t hesitate to reach out to us.
How can I manage my instructions for filling out directly from Gmail?
Using pdfFiller's Gmail add-on, you can edit, fill out, and sign your instructions for filling out and other papers directly in your email. You may get it through Google Workspace Marketplace. Make better use of your time by handling your papers and eSignatures.
How do I make changes in instructions for filling out?
With pdfFiller, you may not only alter the content but also rearrange the pages. Upload your instructions for filling out and modify it with a few clicks. The editor lets you add photos, sticky notes, text boxes, and more to PDFs.
How do I make edits in instructions for filling out without leaving Chrome?
Adding the pdfFiller Google Chrome Extension to your web browser will allow you to start editing instructions for filling out and other documents right away when you search for them on a Google page. People who use Chrome can use the service to make changes to their files while they are on the Chrome browser. pdfFiller lets you make fillable documents and make changes to existing PDFs from any internet-connected device.
What is instructions for filling out?
Instructions for filling out provide guidance on how to properly complete a form or document.
Who is required to file instructions for filling out?
Anyone who needs to fill out the specific form or document is required to refer to the instructions for filling out.
How to fill out instructions for filling out?
Instructions for filling out can typically be found on the official website of the organization or agency that issued the form.
What is the purpose of instructions for filling out?
The purpose of instructions for filling out is to ensure that the form or document is completed accurately and in compliance with the requirements.
What information must be reported on instructions for filling out?
Instructions for filling out usually include step-by-step guidance, definitions of terms, examples, and any specific requirements for completing the form.
Fill out your instructions for filling out online with pdfFiller!
pdfFiller is an end-to-end solution for managing, creating, and editing documents and forms in the cloud. Save time and hassle by preparing your tax forms online.

Instructions For Filling Out is not the form you're looking for?Search for another form here.
Relevant keywords
Related Forms
If you believe that this page should be taken down, please follow our DMCA take down process
here
.
This form may include fields for payment information. Data entered in these fields is not covered by PCI DSS compliance.