
Get the free Important Dates and EventsHousing ServicesVirginia Tech
Show details
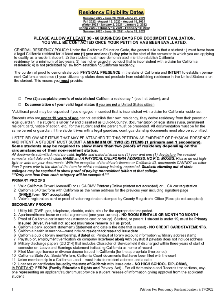
Residency Eligibility Dates Summer 2022 June 20, 2020, June 20, 2021, Fall 2022 August 19, 2020, August 19, 2021, Winter 2023 January 2, 2021, January 2, 2023, Spring 2023 February 10, 2021, February
We are not affiliated with any brand or entity on this form
Get, Create, Make and Sign important dates and eventshousing

Edit your important dates and eventshousing form online
Type text, complete fillable fields, insert images, highlight or blackout data for discretion, add comments, and more.

Add your legally-binding signature
Draw or type your signature, upload a signature image, or capture it with your digital camera.

Share your form instantly
Email, fax, or share your important dates and eventshousing form via URL. You can also download, print, or export forms to your preferred cloud storage service.
How to edit important dates and eventshousing online
Follow the guidelines below to benefit from the PDF editor's expertise:
1
Check your account. In case you're new, it's time to start your free trial.
2
Prepare a file. Use the Add New button. Then upload your file to the system from your device, importing it from internal mail, the cloud, or by adding its URL.
3
Edit important dates and eventshousing. Rearrange and rotate pages, add and edit text, and use additional tools. To save changes and return to your Dashboard, click Done. The Documents tab allows you to merge, divide, lock, or unlock files.
4
Save your file. Select it in the list of your records. Then, move the cursor to the right toolbar and choose one of the available exporting methods: save it in multiple formats, download it as a PDF, send it by email, or store it in the cloud.
With pdfFiller, it's always easy to deal with documents.
Uncompromising security for your PDF editing and eSignature needs
Your private information is safe with pdfFiller. We employ end-to-end encryption, secure cloud storage, and advanced access control to protect your documents and maintain regulatory compliance.
How to fill out important dates and eventshousing

How to fill out important dates and eventshousing
01
Start by identifying the important dates and events related to housing that need to be filled out.
02
Gather all necessary information such as move-in dates, lease renewal dates, upcoming maintenance or repairs, etc.
03
Use a calendar or planner to organize and keep track of these important dates.
04
Make sure to set reminders or alarms for any deadlines or important events related to housing.
05
Regularly update and review the important dates and events to stay on top of any changes or updates.
Who needs important dates and eventshousing?
01
Anyone who is involved in managing or planning housing arrangements such as homeowners, renters, landlords, property managers, real estate agents, etc.
Fill
form
: Try Risk Free
For pdfFiller’s FAQs
Below is a list of the most common customer questions. If you can’t find an answer to your question, please don’t hesitate to reach out to us.
How can I manage my important dates and eventshousing directly from Gmail?
You may use pdfFiller's Gmail add-on to change, fill out, and eSign your important dates and eventshousing as well as other documents directly in your inbox by using the pdfFiller add-on for Gmail. pdfFiller for Gmail may be found on the Google Workspace Marketplace. Use the time you would have spent dealing with your papers and eSignatures for more vital tasks instead.
Where do I find important dates and eventshousing?
The premium subscription for pdfFiller provides you with access to an extensive library of fillable forms (over 25M fillable templates) that you can download, fill out, print, and sign. You won’t have any trouble finding state-specific important dates and eventshousing and other forms in the library. Find the template you need and customize it using advanced editing functionalities.
How do I edit important dates and eventshousing in Chrome?
Adding the pdfFiller Google Chrome Extension to your web browser will allow you to start editing important dates and eventshousing and other documents right away when you search for them on a Google page. People who use Chrome can use the service to make changes to their files while they are on the Chrome browser. pdfFiller lets you make fillable documents and make changes to existing PDFs from any internet-connected device.
What is important dates and eventshousing?
Important dates and eventshousing refers to key timelines and milestones that must be acknowledged and reported within housing programs, often related to compliance and regulatory requirements.
Who is required to file important dates and eventshousing?
Organizations, agencies, and entities that are involved in housing programs and are subject to regulatory oversight, as well as those receiving federal funding, are generally required to file important dates and eventshousing.
How to fill out important dates and eventshousing?
To fill out important dates and eventshousing, individuals or organizations should gather all relevant documentation, follow the provided guidelines for the format, and ensure all required fields are completed accurately before submission.
What is the purpose of important dates and eventshousing?
The purpose of important dates and eventshousing is to ensure transparency, maintain regulatory compliance, and track milestones within housing programs, which helps in effective management and oversight.
What information must be reported on important dates and eventshousing?
Information required typically includes key dates related to housing project milestones, compliance deadlines, and any significant events affecting the housing program's execution or funding.
Fill out your important dates and eventshousing online with pdfFiller!
pdfFiller is an end-to-end solution for managing, creating, and editing documents and forms in the cloud. Save time and hassle by preparing your tax forms online.

Important Dates And Eventshousing is not the form you're looking for?Search for another form here.
Relevant keywords
Related Forms
If you believe that this page should be taken down, please follow our DMCA take down process
here
.
This form may include fields for payment information. Data entered in these fields is not covered by PCI DSS compliance.