
Get the free Road Superintendent: Lyn Garside
Show details
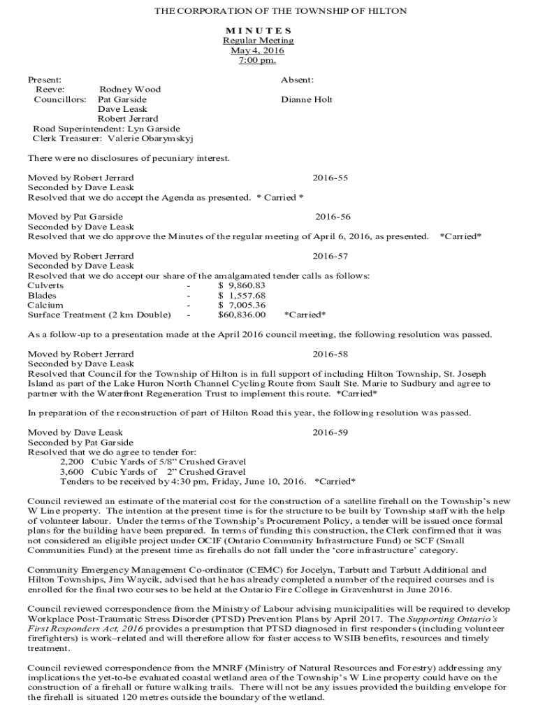
THE CORPORATION OF THE TOWNSHIP OF HILTON MINUTES Regular Meeting May 4, 2016 7:00 pm. Present: Reeve: Councillors:Rodney Wood Pat Gar side Dave Least Robert Gerrard Road Superintendent: Lynn Gar
We are not affiliated with any brand or entity on this form
Get, Create, Make and Sign road superintendent lyn garside

Edit your road superintendent lyn garside form online
Type text, complete fillable fields, insert images, highlight or blackout data for discretion, add comments, and more.

Add your legally-binding signature
Draw or type your signature, upload a signature image, or capture it with your digital camera.

Share your form instantly
Email, fax, or share your road superintendent lyn garside form via URL. You can also download, print, or export forms to your preferred cloud storage service.
Editing road superintendent lyn garside online
Here are the steps you need to follow to get started with our professional PDF editor:
1
Log in to your account. Click Start Free Trial and register a profile if you don't have one.
2
Upload a file. Select Add New on your Dashboard and upload a file from your device or import it from the cloud, online, or internal mail. Then click Edit.
3
Edit road superintendent lyn garside. Add and change text, add new objects, move pages, add watermarks and page numbers, and more. Then click Done when you're done editing and go to the Documents tab to merge or split the file. If you want to lock or unlock the file, click the lock or unlock button.
4
Save your file. Select it from your list of records. Then, move your cursor to the right toolbar and choose one of the exporting options. You can save it in multiple formats, download it as a PDF, send it by email, or store it in the cloud, among other things.
It's easier to work with documents with pdfFiller than you can have ever thought. You can sign up for an account to see for yourself.
Uncompromising security for your PDF editing and eSignature needs
Your private information is safe with pdfFiller. We employ end-to-end encryption, secure cloud storage, and advanced access control to protect your documents and maintain regulatory compliance.
How to fill out road superintendent lyn garside

How to fill out road superintendent lyn garside
01
Gather all necessary information and documentation related to the road superintendent position.
02
Fill out the required application form provided by the relevant authorities.
03
Clearly and accurately provide your personal details, qualifications, experience, and any other requested information.
04
Attach any supporting documents such as resumes, cover letters, and certificates.
05
Review the completed form for any errors or missing information before submission.
06
Submit the filled out road superintendent application form through the designated channels.
Who needs road superintendent lyn garside?
01
Local government authorities
02
Organizations responsible for road maintenance and construction projects
03
Community members in need of road infrastructure improvements
Fill
form
: Try Risk Free
For pdfFiller’s FAQs
Below is a list of the most common customer questions. If you can’t find an answer to your question, please don’t hesitate to reach out to us.
How can I edit road superintendent lyn garside from Google Drive?
Using pdfFiller with Google Docs allows you to create, amend, and sign documents straight from your Google Drive. The add-on turns your road superintendent lyn garside into a dynamic fillable form that you can manage and eSign from anywhere.
How do I make edits in road superintendent lyn garside without leaving Chrome?
road superintendent lyn garside can be edited, filled out, and signed with the pdfFiller Google Chrome Extension. You can open the editor right from a Google search page with just one click. Fillable documents can be done on any web-connected device without leaving Chrome.
How do I fill out road superintendent lyn garside using my mobile device?
You can easily create and fill out legal forms with the help of the pdfFiller mobile app. Complete and sign road superintendent lyn garside and other documents on your mobile device using the application. Visit pdfFiller’s webpage to learn more about the functionalities of the PDF editor.
What is road superintendent lyn garside?
The road superintendent lyn garside is a document that outlines the responsibilities and duties of the road superintendent in charge of maintaining road infrastructure.
Who is required to file road superintendent lyn garside?
The road superintendent is required to file the road superintendent lyn garside document.
How to fill out road superintendent lyn garside?
To fill out the road superintendent lyn garside, the road superintendent must provide detailed information about the maintenance activities, budget, and any updates or changes to road infrastructure.
What is the purpose of road superintendent lyn garside?
The purpose of the road superintendent lyn garside is to ensure transparency and accountability in road maintenance operations.
What information must be reported on road superintendent lyn garside?
Information such as maintenance activities, budget allocation, road conditions, and any planned improvements or repairs must be reported on the road superintendent lyn garside.
Fill out your road superintendent lyn garside online with pdfFiller!
pdfFiller is an end-to-end solution for managing, creating, and editing documents and forms in the cloud. Save time and hassle by preparing your tax forms online.

Road Superintendent Lyn Garside is not the form you're looking for?Search for another form here.
Relevant keywords
Related Forms
If you believe that this page should be taken down, please follow our DMCA take down process
here
.
This form may include fields for payment information. Data entered in these fields is not covered by PCI DSS compliance.