Get the free Department of Defense Strategy for Suicide Prevention
Show details
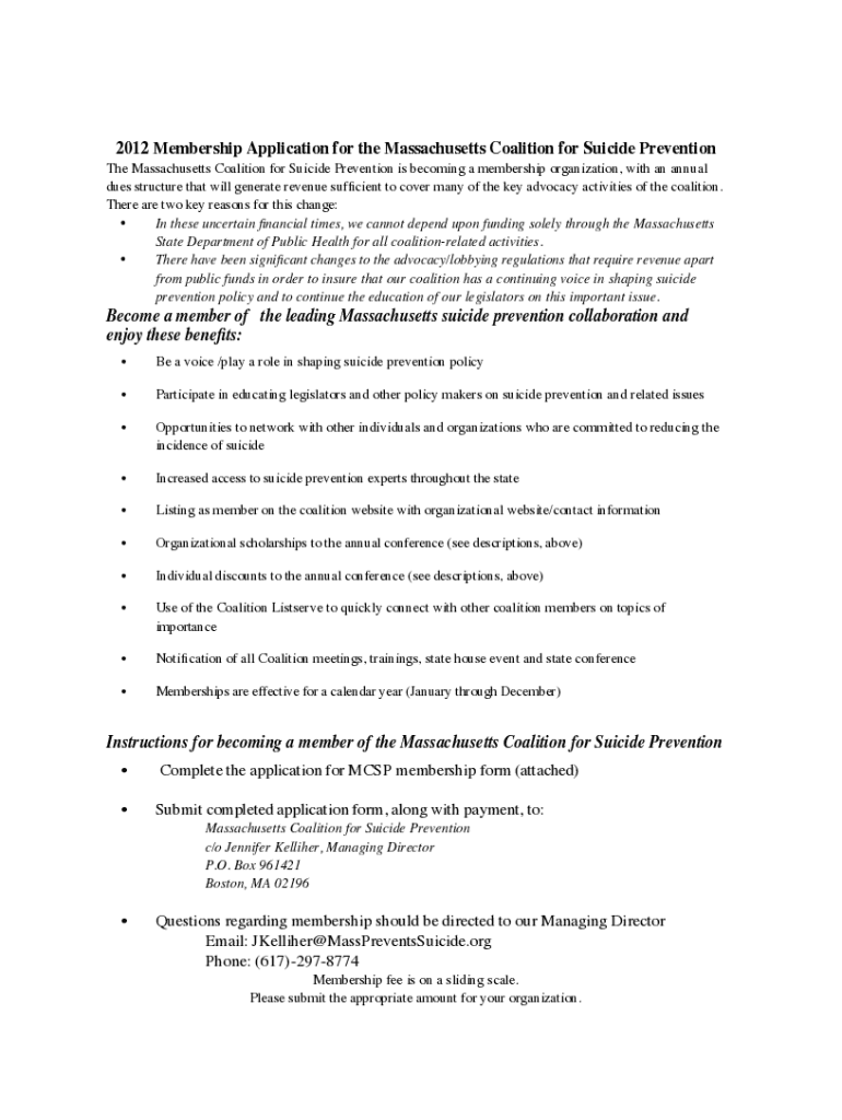
2012 Membership Application for the Massachusetts Coalition for Suicide Prevention The Massachusetts Coalition for Suicide Prevention is becoming a membership organization, with an annual dues structure
We are not affiliated with any brand or entity on this form
Get, Create, Make and Sign department of defense strategy
Edit your department of defense strategy form online
Type text, complete fillable fields, insert images, highlight or blackout data for discretion, add comments, and more.
Add your legally-binding signature
Draw or type your signature, upload a signature image, or capture it with your digital camera.
Share your form instantly
Email, fax, or share your department of defense strategy form via URL. You can also download, print, or export forms to your preferred cloud storage service.
Editing department of defense strategy online
Follow the guidelines below to benefit from a competent PDF editor:
1
Set up an account. If you are a new user, click Start Free Trial and establish a profile.
2
Prepare a file. Use the Add New button. Then upload your file to the system from your device, importing it from internal mail, the cloud, or by adding its URL.
3
Edit department of defense strategy. Rearrange and rotate pages, add new and changed texts, add new objects, and use other useful tools. When you're done, click Done. You can use the Documents tab to merge, split, lock, or unlock your files.
4
Get your file. Select the name of your file in the docs list and choose your preferred exporting method. You can download it as a PDF, save it in another format, send it by email, or transfer it to the cloud.
pdfFiller makes working with documents easier than you could ever imagine. Register for an account and see for yourself!
Uncompromising security for your PDF editing and eSignature needs
Your private information is safe with pdfFiller. We employ end-to-end encryption, secure cloud storage, and advanced access control to protect your documents and maintain regulatory compliance.
How to fill out department of defense strategy
How to fill out department of defense strategy
01
Understand the goals and objectives of the Department of Defense.
02
Analyze the current situation and identify any gaps or areas of improvement.
03
Gather relevant data and information to support the strategy.
04
Engage with key stakeholders to get their input and buy-in.
05
Develop a clear and concise strategy document outlining the steps to be taken.
06
Implement the strategy, monitor progress, and make adjustments as needed.
Who needs department of defense strategy?
01
Government officials responsible for national defense
02
Military commanders and personnel
03
Intelligence agencies
04
Defense contractors
05
Strategists and policy analysts
Fill
form
: Try Risk Free
For pdfFiller’s FAQs
Below is a list of the most common customer questions. If you can’t find an answer to your question, please don’t hesitate to reach out to us.
Can I create an electronic signature for signing my department of defense strategy in Gmail?
Upload, type, or draw a signature in Gmail with the help of pdfFiller’s add-on. pdfFiller enables you to eSign your department of defense strategy and other documents right in your inbox. Register your account in order to save signed documents and your personal signatures.
How do I fill out department of defense strategy using my mobile device?
You can easily create and fill out legal forms with the help of the pdfFiller mobile app. Complete and sign department of defense strategy and other documents on your mobile device using the application. Visit pdfFiller’s webpage to learn more about the functionalities of the PDF editor.
How do I edit department of defense strategy on an Android device?
You can make any changes to PDF files, such as department of defense strategy, with the help of the pdfFiller mobile app for Android. Edit, sign, and send documents right from your mobile device. Install the app and streamline your document management wherever you are.
What is department of defense strategy?
The Department of Defense strategy outlines the overarching goals and priorities of the Department in order to maintain national security.
Who is required to file department of defense strategy?
The Department of Defense strategy is typically filed by the Secretary of Defense, in coordination with other top officials in the Department.
How to fill out department of defense strategy?
The Department of Defense strategy is filled out by outlining key objectives, priorities, and initiatives for the Department to achieve its national security goals.
What is the purpose of department of defense strategy?
The purpose of the Department of Defense strategy is to provide a clear roadmap for the Department to follow in order to enhance national security and defense capabilities.
What information must be reported on department of defense strategy?
The Department of Defense strategy must include information on key national security threats, defense priorities, resource allocation, and strategic objectives.
Fill out your department of defense strategy online with pdfFiller!
pdfFiller is an end-to-end solution for managing, creating, and editing documents and forms in the cloud. Save time and hassle by preparing your tax forms online.
Department Of Defense Strategy is not the form you're looking for?Search for another form here.
Relevant keywords
Related Forms
If you believe that this page should be taken down, please follow our DMCA take down process
here
.
This form may include fields for payment information. Data entered in these fields is not covered by PCI DSS compliance.