Form preview

Get the free A guide to credit dispute letters - Credit Karma template

Get Form
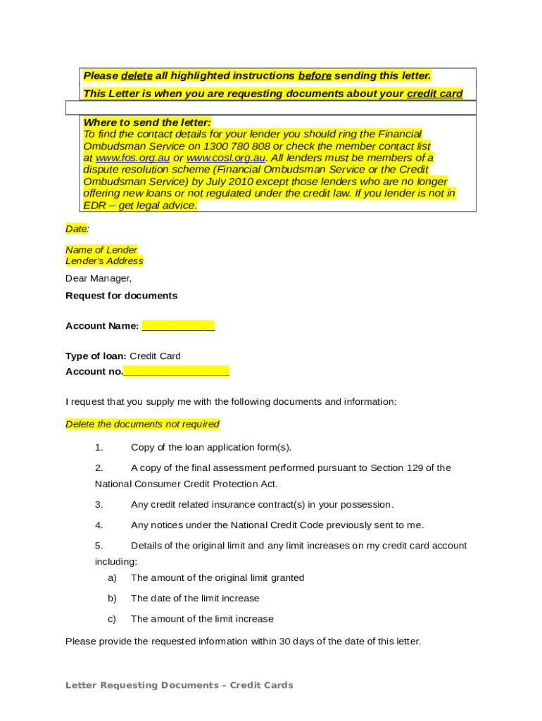
Please delete all highlighted instructions before sending this letter. This Letter is when you are requesting documents about your credit cardsharp to send the letter: To find the contact details
We are not affiliated with any brand or entity on this form

Get, Create, Make and Sign a guide to credit

Edit
Edit your a guide to credit form online
Type text, complete fillable fields, insert images, highlight or blackout data for discretion, add comments, and more.
Add
Add your legally-binding signature
Draw or type your signature, upload a signature image, or capture it with your digital camera.
Share
Share your form instantly
Email, fax, or share your a guide to credit form via URL. You can also download, print, or export forms to your preferred cloud storage service.

How to edit a guide to credit online

9.5
Ease of Setup
pdfFiller User Ratings on G2
9.0
Ease of Use
pdfFiller User Ratings on G2
Here are the steps you need to follow to get started with our professional PDF editor:
1
Log into your account. If you don't have a profile yet, click Start Free Trial and sign up for one.
2
Prepare a file. Use the Add New button to start a new project. Then, using your device, upload your file to the system by importing it from internal mail, the cloud, or adding its URL.
3
Edit a guide to credit. Rearrange and rotate pages, insert new and alter existing texts, add new objects, and take advantage of other helpful tools. Click Done to apply changes and return to your Dashboard. Go to the Documents tab to access merging, splitting, locking, or unlocking functions.
4
Save your file. Select it from your records list. Then, click the right toolbar and select one of the various exporting options: save in numerous formats, download as PDF, email, or cloud.
pdfFiller makes dealing with documents a breeze. Create an account to find out!

Uncompromising security for your PDF editing and eSignature needs

Your private information is safe with pdfFiller. We employ end-to-end encryption, secure cloud storage, and advanced access control to protect your documents and maintain regulatory compliance.
GDPR
AICPA SOC 2
PCI
HIPAA
CCPA
FDA

How to fill out a guide to credit

Illustration

How to fill out a guide to credit

01
Gather all necessary financial documentation such as pay stubs, bank statements, and tax returns.
02
Obtain a copy of your credit report from all three major credit bureaus (Equifax, Experian, TransUnion).
03
Review your credit report for any errors or discrepancies that need to be addressed.
04
Determine your credit score and identify areas for improvement.
05
Research different credit-building strategies such as secured credit cards or credit builder loans.
06
Create a budget and stick to it to ensure timely payments on all existing debts.
07
Monitor your credit score regularly to track your progress and make necessary adjustments.

Who needs a guide to credit?

01
Anyone looking to improve their credit score and overall financial health.
02
Individuals who have little to no credit history and are looking to establish credit for the first time.
03
People who have experienced financial hardship and are looking to rebuild their credit.

What is A guide to credit dispute letters - Credit Karma Form?

The A guide to credit dispute letters - Credit Karma is a document that should be submitted to the relevant address to provide certain info. It has to be completed and signed, which may be done manually in hard copy, or with the help of a certain solution such as PDFfiller. It allows to fill out any PDF or Word document directly in your browser, customize it according to your requirements and put a legally-binding e-signature. Right away after completion, you can easily send the A guide to credit dispute letters - Credit Karma to the relevant receiver, or multiple individuals via email or fax. The template is printable as well due to PDFfiller feature and options offered for printing out adjustment. In both electronic and in hard copy, your form will have a neat and professional appearance. You may also save it as the template to use later, so you don't need to create a new file again. All that needed is to edit the ready form.

Instructions for the A guide to credit dispute letters - Credit Karma form

Once you are about to start completing the A guide to credit dispute letters - Credit Karma .doc form, it's important to make certain that all required details are well prepared. This very part is highly significant, as long as errors and simple typos may lead to unpleasant consequences. It is always uncomfortable and time-consuming to re-submit forcedly whole word template, not even mentioning penalties resulted from missed deadlines. Work with digits requires more focus. At a glimpse, there’s nothing tricky with this task. Yet still, it doesn't take much to make a typo. Experts advise to keep all required info and get it separately in a file. Once you've got a writable template, you can just export that data from the document. In any case, you ought to pay enough attention to provide accurate and solid information. Doublecheck the information in your A guide to credit dispute letters - Credit Karma form while filling all important fields. You can use the editing tool in order to correct all mistakes if there remains any.

How to fill A guide to credit dispute letters - Credit Karma word template

To be able to start completing the form A guide to credit dispute letters - Credit Karma, you'll need a template of it. If you use PDFfiller for filling out and filing, you can find it in a few ways:

  • Find the A guide to credit dispute letters - Credit Karma form in PDFfiller’s filebase.
  • Upload the available template via your device in Word or PDF format.
  • Create the document to meet your specific needs in creator tool adding all required objects in the editor.

No matter what choise you make, you will have all editing tools under your belt. The difference is, the form from the archive contains the valid fillable fields, and in the rest two options, you will have to add them yourself. However, this action is dead simple thing and makes your sample really convenient to fill out. The fields can be placed on the pages, you can delete them too. There are many types of them depending on their functions, whether you’re entering text, date, or put checkmarks. There is also a e-signature field if you want the writable document to be signed by others. You can actually put your own signature with the help of the signing feature. Once you're good, all you've left to do is press Done and pass to the form submission.

Fill form : Try Risk Free
Users Most Likely To Recommend - Summer 2025
Grid Leader in Small-Business - Summer 2025
High Performer - Summer 2025
Regional Leader - Summer 2025
Easiest To Do Business With - Summer 2025
Best Meets Requirements- Summer 2025
Rate the form
4.5
Satisfied
20 Votes

For pdfFiller’s FAQs

Below is a list of the most common customer questions. If you can’t find an answer to your question, please don’t hesitate to reach out to us.

With pdfFiller's add-on, you may upload, type, or draw a signature in Gmail. You can eSign your a guide to credit and other papers directly in your mailbox with pdfFiller. To preserve signed papers and your personal signatures, create an account.
Create, edit, and share a guide to credit from your iOS smartphone with the pdfFiller mobile app. Installing it from the Apple Store takes only a few seconds. You may take advantage of a free trial and select a subscription that meets your needs.
pdfFiller has an iOS app that lets you fill out documents on your phone. A subscription to the service means you can make an account or log in to one you already have. As soon as the registration process is done, upload your a guide to credit. You can now use pdfFiller's more advanced features, like adding fillable fields and eSigning documents, as well as accessing them from any device, no matter where you are in the world.
A guide to credit is a document that provides information about an individual's credit history and credit worthiness.
Individuals or institutions that need to assess someone's credit worthiness are required to file a guide to credit.
A guide to credit can be filled out by providing detailed information about the individual's credit history, including their credit accounts, payment history, and credit scores.
The purpose of a guide to credit is to help creditors and lenders evaluate an individual's ability to repay loans and manage credit responsibly.
Information such as credit accounts, payment history, credit limits, and credit scores must be reported on a guide to credit.
Fill out your a guide to credit online with pdfFiller!

pdfFiller is an end-to-end solution for managing, creating, and editing documents and forms in the cloud. Save time and hassle by preparing your tax forms online.

Get started now
Form preview
If you believe that this page should be taken down, please follow our DMCA take down process here .
This form may include fields for payment information. Data entered in these fields is not covered by PCI DSS compliance.